EasyManua.ls Logo

Technics SL-PS670D - Page 31

Technics SL-PS670D
34 pages
Print Icon
To Next Page IconTo Next Page
To Next Page IconTo Next Page
To Previous Page IconTo Previous Page
To Previous Page IconTo Previous Page
Loading...
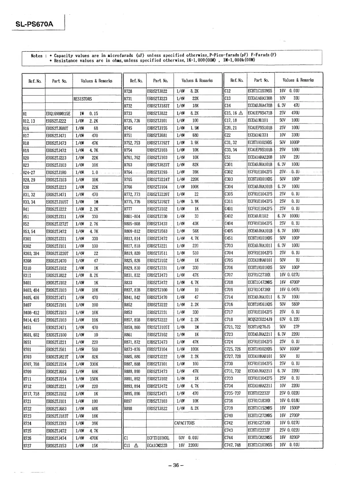
SL-PS670A
|
Notes
:
*
Capacity
values
are
in
microfarads
(uF)
unless
specified
otherwise,
P=Pico-farads
(pF)
F=Farads
(F)
*
Resistance
values
are
in
ohms,
unless
specified
otherwise,
1K=1,000(OHM)
,
1M=1,
000k(OHM)
Values
&
Remarks
.
Values
&
Remarks
ECBTIC1O3NS5
RESISTORS
g
ECEALAKA330B
30U
ECEAQJKA470B
47U
|
ERoL
OME
W
0.15
ECALEPXS471B
470U
ERDS2TJ222
1/AW
2.2K
j
ECEALHU101
100U
~~
|ERDS2TJ6807
1/4¥
68
:
ECALEPXS101B
100U
ERDS2TJ471
1/4¥
470
ECEA1AU331
330U
ERDS2TJ473
1/AW
47K
ECBT1H102KB5
1000P
ERDS2TJ472
1/4W
4.
7K
ECALEPXS101B
1000
ERDS2TJ223
1/AW
22K
F
ERDS2TJ103
ECEA1AKA220B
22U
ERDS2TJ103
i/AW
10K
[ERDS2TJ823T
|
ECEAOJKA1O1B
100U
EDs2TsiRO.
|
1/4¥
10
|
——|erps273393
ECFRIELOAZPS
-O-1U.
ERDS2TJI03
|
1/W
10K
ERDS2TJ2247
[pcprinnoixes
100P
ERDS2TI223
|
1/4W
22K
ERDS2TJ104
ECEAQJKALOIB
|
6.3V
1004
[erosztuarn
|
1/4W
173
|ERDS2T2207
ECFRIELOAZFS
0.10
BRDS2TsIOST
|
1/4W
IM
ERDS2TJ3921
ECFRIEIOAZFS
|
25V
0.10
ERDS2TJ222
|
1/4W
2.
2K
ERDS2TJ102
"|
BCERLELO42FS
ERDS2TI330
33
ECEAOJU102
ERDS2TJ2721
|
1/4¥
2.7K
"43K
a
|ECFRIE104ZF5
ERDS2TJ472
|
1/4¥
4.7K
ERDS2TJ563
|
1/4W
56K
ECBTLHLO1KBS
|
50V
100P
ERDS2TJ101
ECEAQJKALOLI
|
6.3V
100U
ERDS2TJ2207
ECFRIELO4ZF5
|
25V
0.
1U
szi0
si
i
ECBTLHLO1KBS
|
SOV
100P
330
ERDS2TJ822
;
3
47K
ECFRIC273KR
16V
0.0270
ERDS2TJ102
ERDS2TJ472
1/48
ECBT1C472MRS
|
16V
4700P
ERDS2TJ103
;
ERDS2TJ100
1/48
ECFR1C473KR
16V
0.0470
ERDS2TJ471
st
)
,
1/48
ECEAQJKALOLI
|
6.3V
100U
ERDS2TJ101
ERDS2TJ222
1/44
ECBTIHS61KB5
|
SOV
560P
ERDS2TJ103
ERDS2TJ331
1/48
ECFRIELO4ZF5
|
25V
0.
1U
ERDS2TJ103
|
1/4
ERDS2TJ222
1/4W
RCQ5200224J8
|
63V
0.
22U
ERDS2TJ471
1/48
ERDS2TJOST
|
1/4W
ECBTLH27055
SOV.
27P
ERDS2TJ100
1/4W
ERDS2TJ102
1/4¥
ECEAQJKA2211
|
6.3¥
220U
ERDS2TJ221
|
1/4¥
:
ERDS2TJ473
1/48
ECFRIE104ZF5
|
25V
0.1U
{ERDS2TJS61
|
1/4W
ERDS2TJ104
1/48
,
ECBT1H102KB5
E
30V
1000P
ERDS2TJ823T
|
1/4W
ERDS2TJ222
1/44
;
ECEALHKAO101
;
SOV
1U
ERDS2TJ334
|
1/4¥
;
ERDS2TJ101
1/4¥
ECFRIE104ZF5
|
25V
0.1U
ERDS2TJ683
1/4W
F
|ERDS21J473
1/48
ECEAQJKA2211
|
6.3V
2200
ERDS2TJ154
|
ae
ERDS2TJ102
1/4¥
ECFRIE1O4ZF5
|
25V
0.
1U
ERDS2TJ221
:
1/4W
,
ERDS2TJ472
1/4¥
ECEAIAKA2211
|
i0¥
2200
ERDS2TJ102
1/4¥
ERDS2TJ471
1/48
ECBT1E2232F
25V
0.
022U
JERDS2TJ
101
i
1/4¥
ERDS2TJ103
1/4
ECERLCL83KR
16V
6.0180
ERDS2TJ683
1/4W
ERDS2TJ822
1/48
ECBT1C152MRS
|
16¥
1500P
ERDS2TJ183T
|
1/4¥
r
ECBT1C272MR5
|
16V
2700P
ERDS2TJ393
j
1/4W
CAPACITORS
ECFRIC273KR
16V
0.
027U
~
JERDS27J472
1/4¥
ECBTIE2232ZF
25¥
0.022U
nT
1/4¥
ECFTD1O3KXL
50V
0.01U
ECBT1C822MS5
|
16V
8200P
ERDS2TJ153
1/4¥
ECA1CM222B
16V¥
2200U
;
ECBTICLO3NSS
|
16V
0.
O1U
—36-

Related product manuals