EasyManua.ls Logo

Telemark Cryogenics 2400 - Water Connections

Default Icon
63 pages
Print Icon
To Next Page IconTo Next Page
To Next Page IconTo Next Page
To Previous Page IconTo Previous Page
To Previous Page IconTo Previous Page
Loading...
Telemark Cryogenics Microprocessor Based Cryochillers
Page
20
of
63
Revision 1.0.7 October 2018
2.5 Water Connections
The advanced design of the unit means it is capable of operating over a
wide range of water temperatures. While Liquid Line temperature (LT on the
display) is preset to 40°C maximum, there is littl e loss of performance with
water (outlet – this is not displayed on the unit) temperatures as high as 35
°
C.
Higher water temperatures result in a slight loss of capacity while water colder
than 15°C will slow the systems response and lead to undue condensation on
water lines.
In-house re-circulating water-cooling system is required. Water must be free
from chlorides and sufficiently soft to prevent the build up of lime scale (0.1
M
resistivity). Ensure that the water is clean and free from any clogging
debris. The Ph value should be between 6.5 and 8. The water inlet and
outlet pipe-work needs to have a minimum diameter of ¾ inch (15mm). The
use of a suitable biocide can be beneficial when used in closed loop water
systems.
Connect the water lines to the unit ensuring the correct orientation of the
water lines (see fig 3 above). Turn on water flow and ensure no leakage is
present at connectors. Open the cabinet and check visually for water
leaks inside the cabinet.
Water temperature below ambient temperature, may cause condensation.
Additional insulation of the internal water lines may be required if the cooling
water temperature is low and the ambient humidity is high.
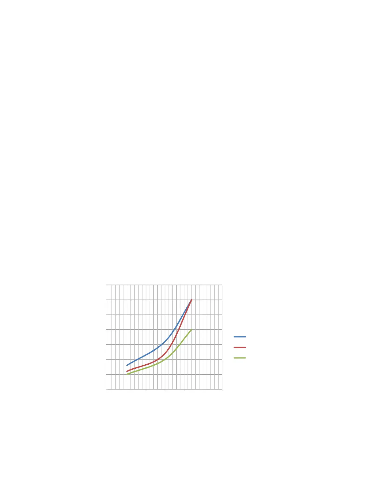
The graph (fig 4) below indicates the cooling water flow required at varying
inlet temperatures. As a practical limit, a flow rate of 30 l/min is
approximately equivalent to a 15psi (1bar) pressure drop across the Unit.
0
5
10
15
20
25
30
35
10 15 20 25 30 35 40
Water Flow (l/min)
Water Temperature (C)
3600
3000, 2400
1200,1800 1800EXT
Fig 4, Water flow Requirements

Related product manuals