EasyManua.ls Logo

Thermo Electron NESLAB System III - Appendix; Water Quality Standards and Recommendations

Default Icon
28 pages
Print Icon
To Next Page IconTo Next Page
To Next Page IconTo Next Page
To Previous Page IconTo Previous Page
To Previous Page IconTo Previous Page
Loading...
Unfavorably high total ionized solids (TIS) can accelerate the rate of galvanic corrosion. These contaminants
can function as electrolytes which increase the potential for galvanic cell corrosion and lead to localized
corrosion such as pitting. Eventually, the pitting could become so extensive that leaking will occur between the
process water and facility water diminishing the System's heat transfer capability.
High water hardness (Calcium and Maganese) can also produce scaling. Scaling will inhibit heat transfer
between the process and facility side by building up a deposit layer on metal surfaces. As an example, raw
water in the United States averages 171 ppm (of NaCl). The recommended level for use in a water system is
between 0.5 to 5.0 ppm (of NaCl).
Recommendation: Initially fill the tank with distilled/deionized water. Do not use untreated tap water as the total
ionized solids level may be too high.
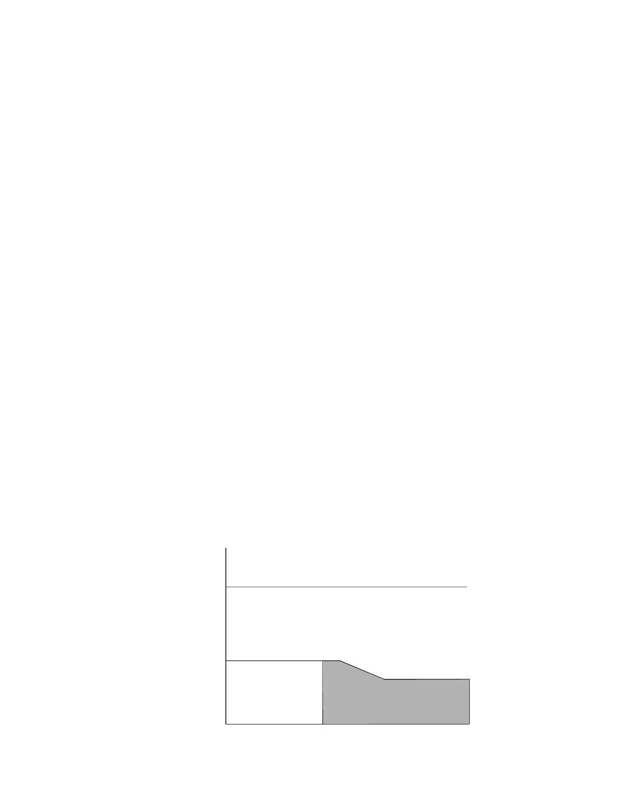
Maintain this water quality at a resistivity of between 1 to 10 megohm-cm (compensated to 25°C) by using a
purification system. Although the initial fill may be as high as 10 megohm-cm (compensated to 25°C), the
desired level for long time usage is 1 to 3 megohm-cm (compensated to 25°C).
The above two recommendations will reduce the electrolytic potential of the water and prevent or reduce the
galvanic corrosion observed.
Permissible (PPM) Desirable (PPM)
Microbiologicals
(algae, bacteria, fungi) 0 0
Inorganic Chemicals
Calcium <40 <0.6
Chloride <250 <25
Copper <1.3 <1.0
Iron <0.3 <0.1
Lead <0.015 0
Magnesium <12 <0.1
Manganese <0.05 <0.03
Nitrates\Nitrites <10 as N 0
Potassium <20 <0.3
Silicate <25 <1.0
Sodium <20 <0.3
Sulfate <250 <50
Hardness <17 <0.05
Total Dissolved Solids <50 <10
Other Parameters
pH 6.5-8.5 7-8
Resistivity 0.01* 0.05-0.1*
* Megohm-Cm (Compensated to 25°C)
Appendix
Water Quality Standards
and Recommendations
15.00
10.00
3.00
1.00
0.10
0.05
Resistivity (megohm-cm @ 25°C)
Not Recommended, Increasingly Corrosive
Operations with Stainless Steel Systems
Operations with
Mixed Metals
Copper/Brass/
Stainless Steel
CONSULT MATERIALS ENGINEER
10 20 30 40 50 60 70 80
Water Quality Considerations
°C