EasyManua.ls Logo

Thermo Electron NESLAB System III - Page 9

Default Icon
28 pages
Print Icon
To Next Page IconTo Next Page
To Next Page IconTo Next Page
To Previous Page IconTo Previous Page
To Previous Page IconTo Previous Page
Loading...
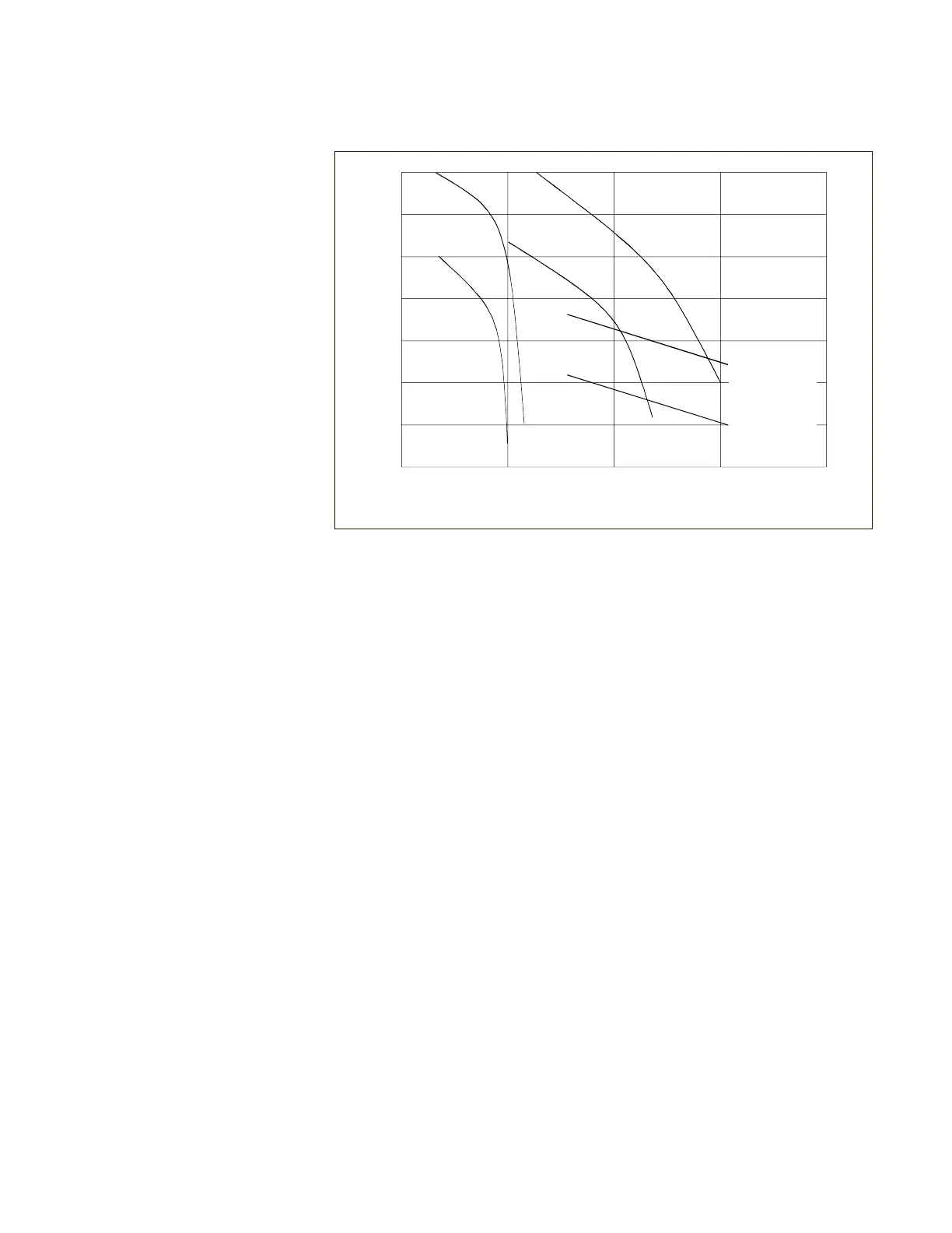
- 7 -
Pressure (psi)
Flow (gallons/minute)
70
60
50
40
30
20
10
5101520
A
D
C
B
A
=
T
U
-7
, 6
0
H
z
B
=
T
U
-7
, 5
0
H
z
C
=
T
U
-3
, 6
0
H
z
D
=
T
U
-3
, 5
0
H
z
E
=
C
P
-5
5
, 6
0
H
z
F
=
C
P
-5
5
, 5
0
H
Z
5.TU-7, TU-8, and TU-9 pumps require 3Ø power.
6.TU-5 pumps are rated 9 gpm @ 50 psi, TU-6 pumps are 12 gpm @ 50 psi, TU-8 pumps
are 20 gpm @ 50 psi, and TU-9 pumps 23 gpm @ 50 psi.
Pump Capacity
5,6
E
F