EasyManua.ls Logo

THOMSON TG782 - Page 52

THOMSON TG782
90 pages
Print Icon
To Next Page IconTo Next Page
To Next Page IconTo Next Page
To Previous Page IconTo Previous Page
To Previous Page IconTo Previous Page
Loading...
E-DOC-CTC-20090619-0001 v1.0
46
5 Saving Energy with
Your Thomson Gateway
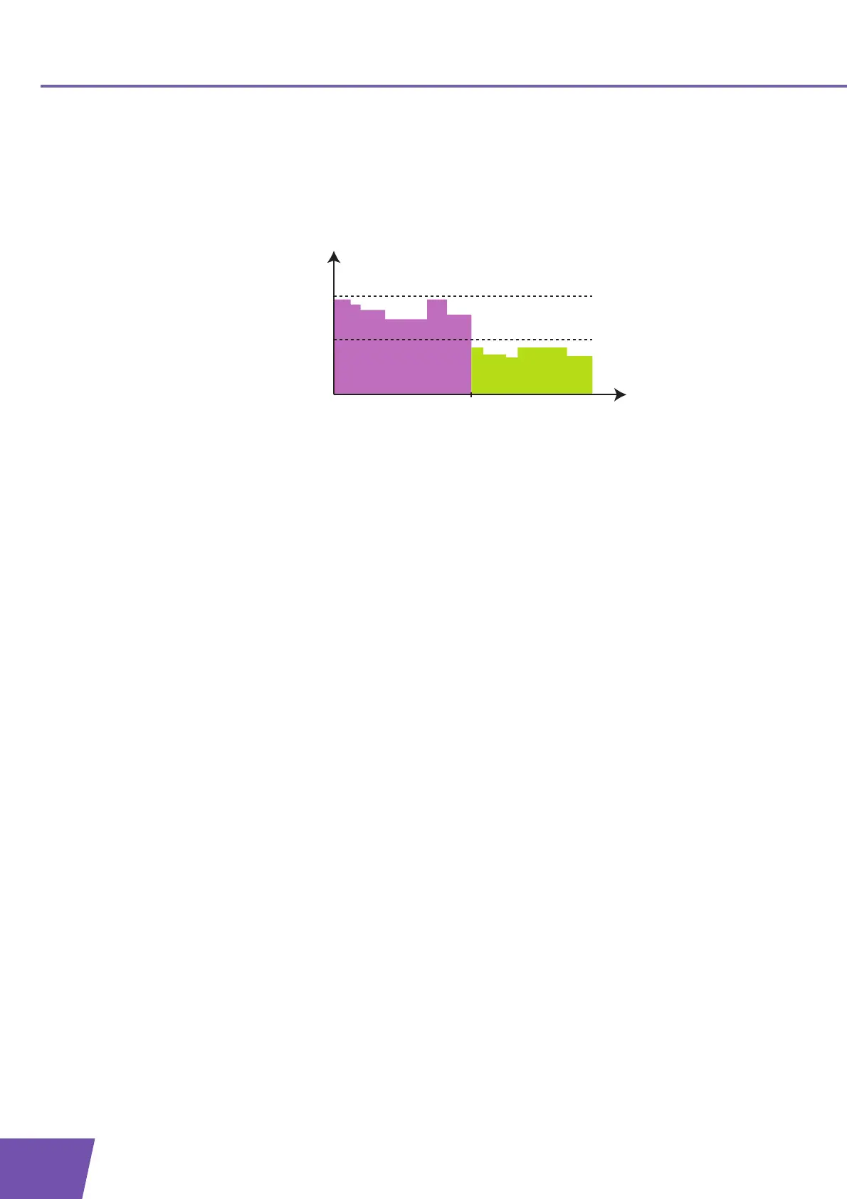
Example:
If we use the same example as in the previous section, you can see that the Thomson Gateway is now able to
further reduce the power consumption in periods where there is less action required from the Thomson
Gateway (for example: no wireless devices connected, low user traffic,...).
Zero Power Consumption
If you will not be using your Thomson Gateway for a longer time (for example: you are going on holiday), you
might consider to turn off the Thomson Gateway. This way no energy will be consumed at all.
Be aware that if you turn off the Thomson Gateway, all services provided by it will not be available. For
example:
No VoIP calls
You will no longer be able to make phone calls over the Internet. Your phone calls will automatically be
done via the traditional phone network (if available).
No Digital TV
If your set-top box is connected to your Thomson Gateway, he will no longer be able to connect to the
Internet.
...
No User Traffic
User Traffic
Time
20:00
Time
Power
Consumption
Full power limit
Low power limit

Table of Contents

Related product manuals