EasyManua.ls Logo

Val Controls IDC24-AF - Page 41

Default Icon
74 pages
Print Icon
To Next Page IconTo Next Page
To Next Page IconTo Next Page
To Previous Page IconTo Previous Page
To Previous Page IconTo Previous Page
Loading...
DID-UM-002
Val Controls A/S Limfjordsvej 3 DK-6715 Esbjerg N Tel. +45 7547 0600
vc@valcontrols.com www.valcontrols.com
Revision: 10
41/74
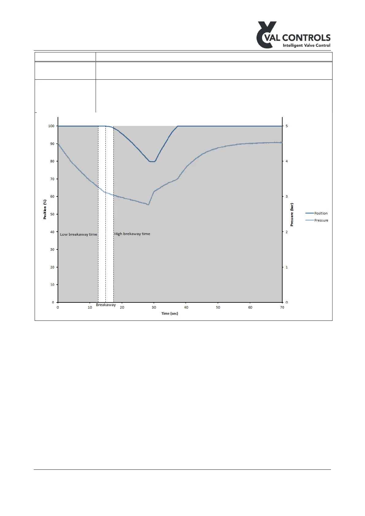
No. 434
PST warning: Breakaway time is too high
Description
The breakaway time is higher than breakaway time high
Trouble shooting
This alarm can be solved by:
Resolve the mechanical problem
Increase the Breakaway time high value

Other manuals for Val Controls IDC24-AF

Related product manuals