EasyManua.ls Logo

Valence RT - Battery Charging Procedures; Battery Charging Process

Valence RT
24 pages
Print Icon
To Next Page IconTo Next Page
To Next Page IconTo Next Page
To Previous Page IconTo Previous Page
To Previous Page IconTo Previous Page
Loading...
Performance may vary depending on, but not limited to cell usage and application.
If cell is used outside specifications, performance will diminish. All specifications
are subject to change without notice. All information provided herein is believed,
but not guaranteed, to be current and accurate. Copyright © 2005-2008 Valence
Technology, Inc.
Revision Date October 2008
12303 Technology Blvd., Suite 950, Austin, TX 78727, USA
Phone (888) VALENCE or +1 (512) 527-2900, Fax +1 (512) 527-2910
Unit 63 Mallusk Enterprise Park, Mallusk Drive, Newtownabbey, UK
Phone +44(0) 28 9084 5400, Fax +44(0)28 9083 8912
Email: sales@valence.com
, Web site: www.valence.com
6. CHARGING THE BATTERIES
6.1 Select a Proper Battery Charger
When choosing a charger, please use the following minimum guidelines for selection.
The charger should deliver a DC current with as small a ripple current as possible.
The charger should have a reliable and accurate voltage regulator.
The current from the charger should be controlled in all situations.
6.2 Charging the Battery
For normal charging, use a battery charger that has an output of 20A or less until the Voltage
reaches Recommended Charge Voltage and then automatically tapers the current down to
maintain a constant Optimum Float Voltage (CC-CV-CV). Charging is considered complete when
the current is less than C/20 for the system. However, leaving the batteries on float (between
13.8V-14.6V per battery) will continue to balance the cells and will not harm the batteries in any
way. For normal charges, the battery temperature should be between 0 and 45°C (32 and
113°F). Internal resistance of the battery is higher at colder temperatures. Thus, the charge
acceptance of the battery will be less when the temperature is less than 0°C (32°F). This may
increase the charge time.
The value of the charger’s voltage limit is calculated by multiplying the number of batteries that
are connected in series by 14.6V.
For example:
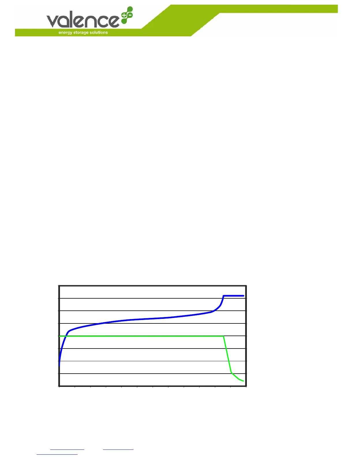
4 modules of the U1-12RT (U24/U27) systems * 14.6V= 58.4V (see Figure 6 for example)
Typical charging curve of 4 U1s in series at C/2 rate at 23°C
44
46
48
50
52
54
56
58
60
0 102030405060708090100110120
Charge Time (m)
Voltage
0
5
10
15
20
25
30
35
40
Charging Current (A)