EasyManua.ls Logo

Volvo B 200 E - Page 38

Volvo B 200 E
108 pages
Print Icon
To Next Page IconTo Next Page
To Next Page IconTo Next Page
To Previous Page IconTo Previous Page
To Previous Page IconTo Previous Page
Loading...
Group
28
Ignition
sys
t
ems
Desi
gn
and
funct
io
n -
Compensa
t
ion
f
unctions
(lI
0
Q'°'
F==
==
=
_8
°
Q'-15°
{ _
R
EX-I
147
DIll
Load
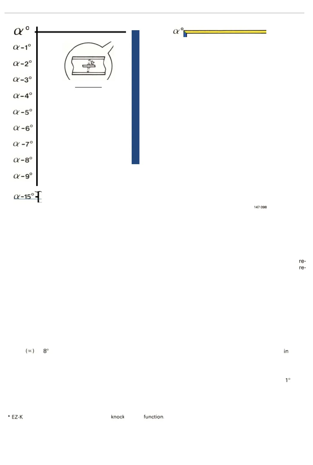
-
controlled
retardation
Function
Since a
sudden
increase in load
greatly
increases
the
risk
of
knock,
the
control
un
it
in
corpo
rates a
fun
ction
which
re-
tards
the
tim
ing
sharply
for a
brief
period
u
nder
these
condit
ions.
The
fun
c
tion
of
load
-
controlled
ret
ardation
is
to
re-
duce
th
e li
ke
lih
ood
of knock
when
the
accelerator is
suddenly
depressed.
Backgro
und
High
engine
load (equival
ent
to
the
injection
of
a large
quanti
ty
of
mixture)
is a
prerequis
ite
to
the
occurrence
of
the
more
com
mon
type
s
of
kn
oc
k. Thus,
for
examp
le,
when
the accelerator is s
uddenly
depressed, the
co
ntrol
uni
t
may
be
unab
le (
by
virtue
of its
design)
to
retard the
ignition
quick
ly
enough
by
an
amount
equiva
lent
to
the
l
oad
increase.
For this reason, certain cars
may
be
subject
to
what
is
known
as
'
transitional
' knock
if
driven
in
too
high
a
gear
with
the
accelerat
or
to
the
fl oor.
Sharp
retardat
i
on
To
overcome
this
problem
,
th
e con
trol
unit
incorporates
a
program
-co
ntr
olled
fun
c
tion
wh
ich
retards
the
norma
l
t
iming
(oc)
by
SO
in
response to a load
signallfrom
the
fuel
co
ntrol
unit)
indic
ating
a s
udden
pr
essure
drop
in
the
in
-
take
manifold.
Rapid re
·a
dvan
ce
Th
e
con
trol
uni
t then restores t
he
t
imi
ng
very
rapidly
to
th
e
normal
value,
0..
This
is car
ried
ou
t
in
steps of 1"
every
five
engine
revolut
ions
(bo
th
values
approx
imate). regardless
of
whether
th
e
higher
load
condi
t
ion
is of
longer
dur-
ation
.
Should
the
rap
id
pressure
drop
be fo
llow
ed
by
full openi
ng
of
the
throttle
,
th
e
con
tr
ol
unit
will
have
sufficien
t t
ime
to
again retard
the
basic
tim
ing
by
a
sufficien
t
amount
w i
th
ou
t
any
significant
ri
sk
of
fu
rther
knock.
EZ
-K systems 8re equipped wi
th
8 similar
knock
contr
ol
function.
36

Related product manuals