EasyManua.ls Logo

Xentaur XDT - Appendix K: RS-232 C Interface Protocol; RS-232 C Interface Protocol

Default Icon
70 pages
Print Icon
To Next Page IconTo Next Page
To Next Page IconTo Next Page
To Previous Page IconTo Previous Page
To Previous Page IconTo Previous Page
Loading...
XDT User’s Manual Appendices
45
Appendix F: Sensor/SpanCheck™ Theory of Operation
The Sensor is constructed as a capacitor whose dielectric consists of porous Aluminum Oxide as
well as the gas that has entered in the pores of the Aluminum Oxide. The plates (electrodes) of
this capacitor are an aluminum substrate and a porous gold layer deposited on top of the Alumi-
num Oxide, the porous gold electrode allows transfer of gases into or out of the Aluminum Oxide
pores.
The capacitance due to the Aluminum Oxide is always constant, while the capacitance due to the
gas varies according to the gas content and pressure. Since the dielectric constant of water is
orders of magnitude larger than that of any gases being measured, the quantity of water vapor
present in the pores changes the capacitance of the sensor to a much greater extent than any other
system variable. For the same reason (the extremely large dielectric constant of the water mole-
cule), any capacitance variations arising from the Aluminum Oxide, such as changes due to tem-
perature, are insignificant in relation to the capacitance due to the water content. Thus the sensor
capacitance varies greatly in proportion to the water content in the surrounding gas. The sensor is
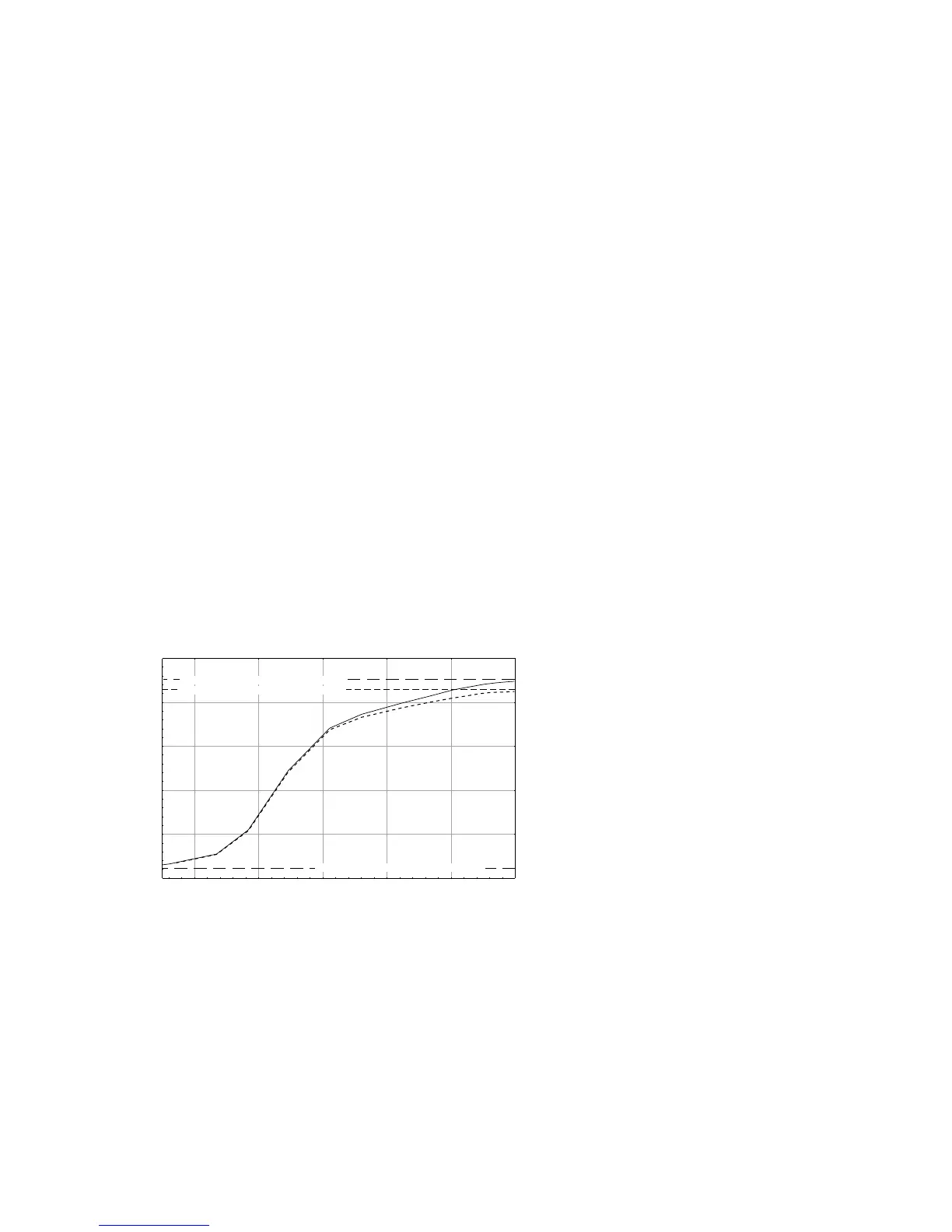
designed such that the relationship of the quantity of water and the resultant capacitance has an
"S" shaped curve. At the extremely dry end the curve is asymptotic to the capacitance due to the
Aluminum Oxide and the gas, while at the very wet end the curve is asymptotic to the capacitance
due to water molecules packed extremely tightly (saturated) in the pores of the Aluminum Oxide.
This upper end is an excellent indication of the total pore volume; while the lower end of the
curve is an indication of the distance between, & area of the capacitor plates (electrodes), this is
the intrinsic capacitance of the sensor. Therefore knowing these two points, a sensor can be cali-
brated with compensation for small manufacturing deviations.
As the sensor is used in real world
applications, it is exposed to various
elements and stress; like any other sen-
sor it may over time drift from calibra-
tion. However one must note that the
intrinsic capacitance will not change
with use because it is based simply on
the dielectric constant of Al
2O3 and the
distance between, & area of the plates
(electrodes), thus the original factory
measured values will always be valid.
What may change is the pore volume,
due to clogging with contaminants,
residual oxidation, metal migration, etc.
Thus to re-calibrate the sensor the
instrument needs only to “know” the capacitance at the wet end of the curve. As discussed previ-
ously the capacitance at the wet end approaches asymptotically a saturated pore capacitance,
therefore if the sensor is saturated (the exact water content will not be important since the curve is
asymptotic), then the instrument can measure the capacitance and re-calibrate the sensor. This is
referred to as SpanCheck™.The advantages of this unique capability of Xentaur HTF™ sensors
and instruments are obvious in time and cost savings for re-calibration, as well as ease of sensor
replacement.
Xentaur HTF Sensor: Dewpoint vs. Capacitance Response Curve
Dewpoint Reference
˚C
Capacitance (nF)
New Senso
rCurve
Aged Se
nsor Curve
0
40
80
120
160
200
-80
-60
-40
-20
0
20
Saturated Capacitance Asymtote of Aged Sensor
Dry Capacitance Asymtote of New & Aged Sensor
Saturated Capacitance Asymtote of New Sensor

Table of Contents