EasyManua.ls Logo

Zipro Beat RS - Page 22

Zipro Beat RS
Print Icon
To Next Page IconTo Next Page
To Next Page IconTo Next Page
To Previous Page IconTo Previous Page
To Previous Page IconTo Previous Page
Loading...
22
DE
(Es handelt sich um eine annährende Messung, die zum Vergleich verschiedener
Trainingseinheiten dient, aber nicht für Behandlungszwecke verwendet werden darf.)
TOTAL DISTANCE (ODO)
Zeigt die Gesamtdistanz ab dem einsetzen der Batterie an.
0-9999 km
PULSE
Zeigt den aktuellen Puls an.
40-240 BPM
EINSTELLUNG DER COUNTDOWN-WERTE
Durch Drücken von MODE stellen Sie auf dem Monitor den Parameter ein, den Sie während des Trainings erreichen möchten: Zeit, Entfernung,
Anzahl der Kalorien oder Puls-Obergrenze. (Auf dem Display sollte nur der Parameter ohne die Option SCAN sichtbar sein.)
Stellen Sie durch wiederholtes Drücken der SET-Taste den gewünschten Wert ein.
Der Countdown beginnt, sobald Sie zu treten beginnen. Auf dem Monitor erscheint ein Abwärts-Pfeil.
Das Ende des Countdowns oder das Überschreiten des eingestellten Pulswerts wird durch einen Ton signalisiert.
PULSE RATE
ACHTUNG! Die Puls-Messung dient ausschließlich zu sportlichen Zwecken (eine medizinische Anwendung wird ausgeschlossen).
Drücken Sie die MODE-Taste, bis PULSE auf dem Bildschirm angezeigt wird.
Legen Sie beide Hände auf die Pulssensoren des Lenkers. Der Computer zeigt während einer Messung ein herzförmiges Symbol an.
Nach 3 bis 4 Sekunden zeigt der Computer den aktuellen Puls an.
TRAINING UND TRAININGSPHASEN
Die Nutzung des Trainingsgeräts bietet Ihnen viele Vorteile. Zuallererst
wird es Ihre Kondition verbessern, Ihre Muskeln stärken und in
Kombination mit der richtigen Ernährung unnötiges Fett verbrennen.
1. AUFWÄRMEN
Diese Phase verbessert die Blutzirkulation im ganzen Körper und
bereitet die Muskeln für eine höhere Anstrengung vor. Es reduziert
außerdem das Risiko von Krämpfen und Verletzungen. Es ist ratsam,
mehrere Dehnübungen, wie unten gezeigt, durchzuführen. Wenn Sie
Schmerzen verspüren, beenden Sie das Training oder reduzieren Sie
die Intensität der Bewegung.
DEHNUNG DER INNEREN OBERSCHENKELMUSKELN
Setzen Sie sich mit gebeugten Beinen und Knien, die nach außen
gerichtet sind, auf eine flache Oberfläche. Verbinden Sie die Fußsohlen
und bringen Sie sie so nah wie möglich zusammen. Drücken Sie die
Knie sanft auf den Boden und halten Sie diese Position für
15 Sekunden.
DEHNUNG DER OBERSCHENKEL
Setzen Sie sich auf eine flache Oberfläche. Strecken Sie das rechte Bein
und lege Sie die Sohle Ihres linken Fußes auf den rechten
Oberschenkel. Strecken Sie Ihre rechte Hand so weit wie möglich zu
den Zehen des rechten Beines. Halten Sie diese Position für
15 Sekunden. Wiederholen Sie die Übung für das linke Bein.
KOPFDREHUNGEN
Halten Sie den Kopf gerade und schauen Sie nach vorne. Drehen Sie
den Kopf nach rechts, ohne dabei die Schultern zu bewegen, drehen Sie
den Kopf wieder nach vorne und drehen Sie ihn dann nach links und
danach nach vorne.
ANHEBEN DER SCHULTERN
Heben Sie die linke Hand so weit wie möglich und halten Sie sie für
einige Sekunden in dieser Position. Wiederholen Sie die Übung mit der
rechten Hand.
DEHNUNG DER ACHILLESSEHNEN
Stehen Sie Gesicht zur Wand, bewegen Sie das linke Bein nach vorne
und beugen Sie es leicht im Knie. Halten Sie das rechte Bein hinten -
gerade, mit der Ferse flach auf dem Boden liegend. Halten Sie beide
Füße flach auf dem Boden und drücken Sie das Becken in Richtung der
Wand. Halten Sie diese Position für 30 Sekunden. Wiederholen Sie die
Übung mit dem rechten Bein nach vorne. Achten Sie darauf, den
Rücken während der Übung nicht bogenförmig zu wölben.
RUMPFBEUGEN
Stellen Sie sich mit beiden Beinen zusammengestellt hin. Beugen Sie
sich nach vorne und versuchen Sie den Brustkorb so nah wie möglich
an die Knie zu bringen. Halten Sie diese Position für 15 Sekunden.
Achten Sie darauf, dass Sie die Beine nicht beugen.
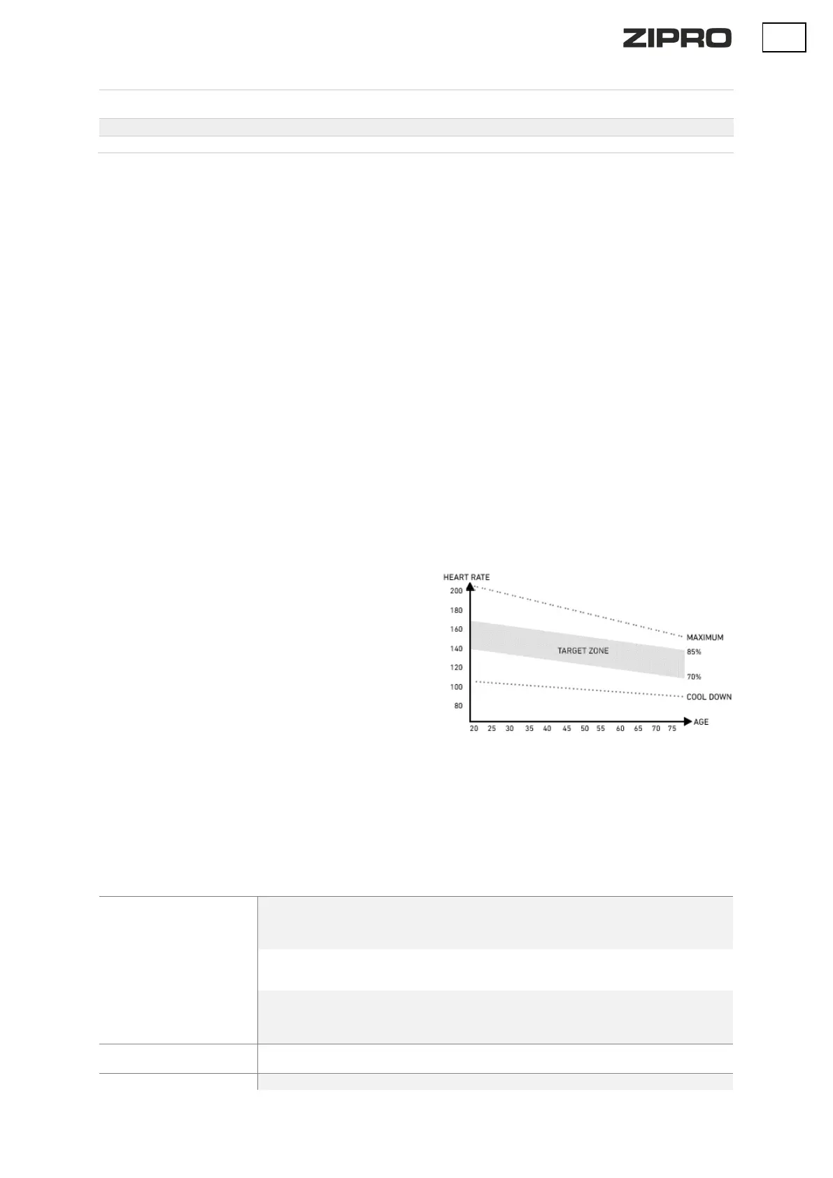
2. TRAININGSPHASE
Das ist die Phase des eigentlichen Trainings. Trainieren Sie in Ihrem
eigenen Tempo, um einen angemessenen Puls für Ihr Alter zu erreichen,
der in der Tabelle unten gezeigt wird.
3. ABKÜHLUNGSPHASE
Diese Phase ermöglicht, dass die Blutzirkulation beruhigt wird und die
Muskeln sich entspannen. Es handelt sich hierbei um eine
Wiederholung der Aufwärmübungen. Achten Sie darauf, Ihre Muskeln
nicht zu überstrapazieren.
MÖGLICHE SCHÄDEN UND REPARATURTECHNIKEN
ACHTUNG! Das Öffnen des Gehäuses des Geräts ohne vorherige Kontaktaufnahme mit dem Herstellerservice führt zum Erlöschen der Garantie. Wenn ein
Fehler auftritt, der das Öffnen des Gehäuses erfordert, wenden Sie sich bitte an die Serviceabteilung des Herstellers.
Fehlerbeschreibung
Mögliche Ursachen
Lösungen
Das Gerät schwenkt
Das Gerät wurde auf einer unebenen Oberfläche
aufgestellt.
Unter dem Gerät befindet sich ein Gegenstand, der
das Gleichgewicht des Geräts stört.
Stellen Sie das Gerät auf eine ebene Oberfläche.
Entfernen Sie den Gegenstand, der das Gleichgewicht
stört.
Die Füße wurden nicht ordnungsgemäß montiert.
Montieren Sie die Füße des Geräts ordnungsgemäß.
Bringen Sie die Auflagen auf dem hinteren Fuß in
Waage.
Die Auflagen auf dem Fuß wurden nicht
ordnungsgemäß montiert und in Waage gebracht.
Montieren Sie den hinteren Fuß des Geräts
ordnungsgemäß.
Bringen Sie die Auflagen auf dem hinteren Fuß in
Waage.
Der Sattel oder der Lenker
schwenken
Die Schrauben und Knebelgriffe der Sattel- oder
Lenkerkolumne sind nicht festgezogen.
Ziehen Sie die Schrauben und Drehgriffe der Sattel-
oder Lenkerkolumne fest.
Lärm während der Nutzung
Unsachgemäß angezogene Komponenten.
Kontaktieren Sie die Serviceabteilung des Herstellers.

Related product manuals