EasyManua.ls Logo

ABB ACH 500 - Page 89

ABB ACH 500
117 pages
Print Icon
To Next Page IconTo Next Page
To Next Page IconTo Next Page
To Previous Page IconTo Previous Page
To Previous Page IconTo Previous Page
Loading...
Chapter 6 – Parameters
ACH 500 Programming Manual 6-43
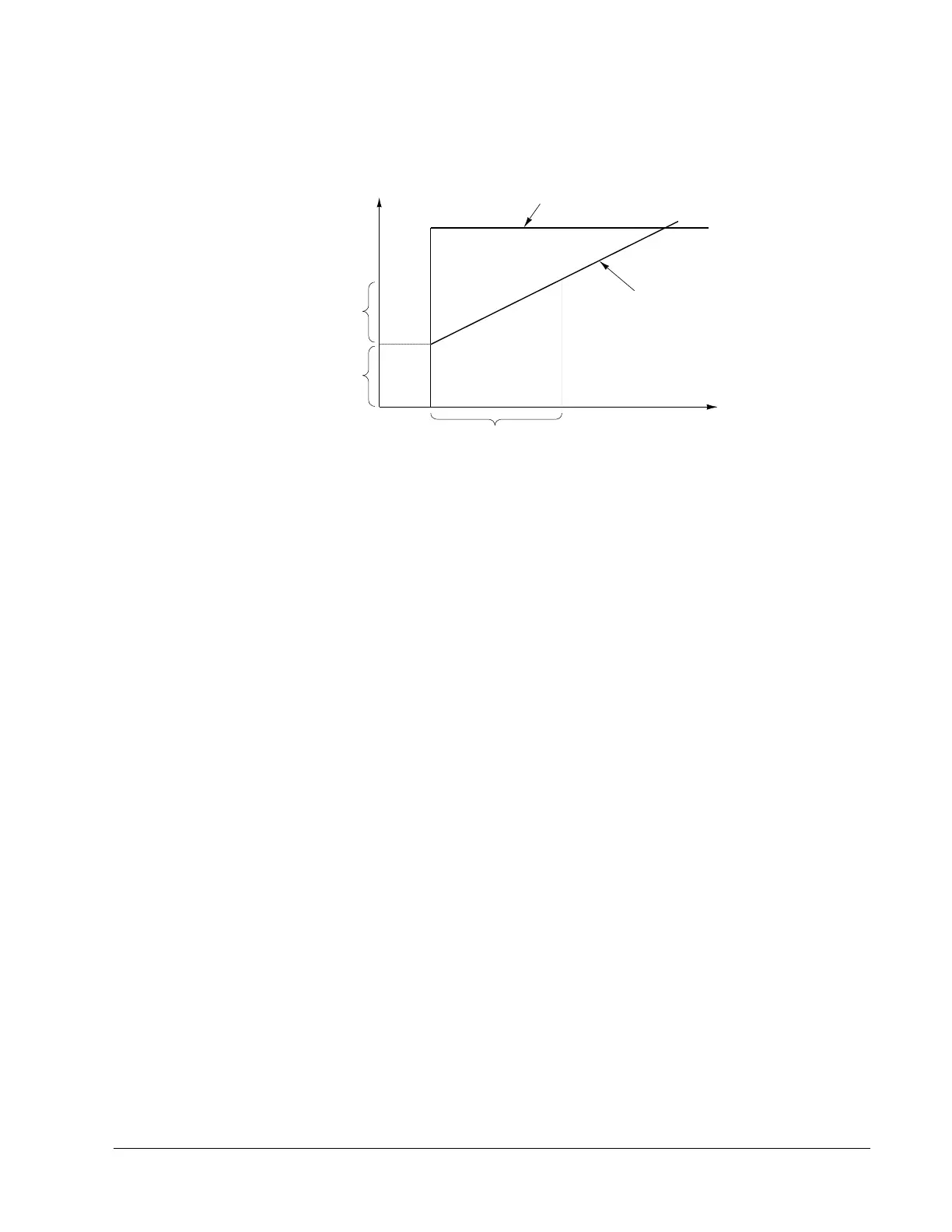
Figure 6-18 shows PI-Controller Gain, I-Time, and Error Value.
Figure 6-18 PI-Controller Gain, I-Time, and Error Value
9 ACT 1 MIN SCALE
Minimum scaling factor of the Actual Value 1. Setting range is -1600 to
+ 1600%.
0%
The minimum Actual Value corresponds to the minimum scaled Actual Value.
100%
The maximum Actual Value corresponds to the minimum scaled Actual
Val ue.
10 ACT 1 MAX SCALE
Maximum scaling factor of the Actual Value 1. Setting range is -1600 to
+1600%.
0%
The minimum Actual Value corresponds to the maximum scaled Actual
Val ue.
100%
The maximum Actual Value corresponds to the maximum scaled Actual
Val ue.
Error Value
PI-Controller
Gain
Gain
PI-CONT I-TIME
t

Table of Contents

Related product manuals