EasyManua.ls Logo

ABB ACS880-37 - 3. Pt100 relays for ATEX thermal protection

ABB ACS880-37
66 pages
Print Icon
To Next Page IconTo Next Page
To Next Page IconTo Next Page
To Previous Page IconTo Previous Page
To Previous Page IconTo Previous Page
Loading...
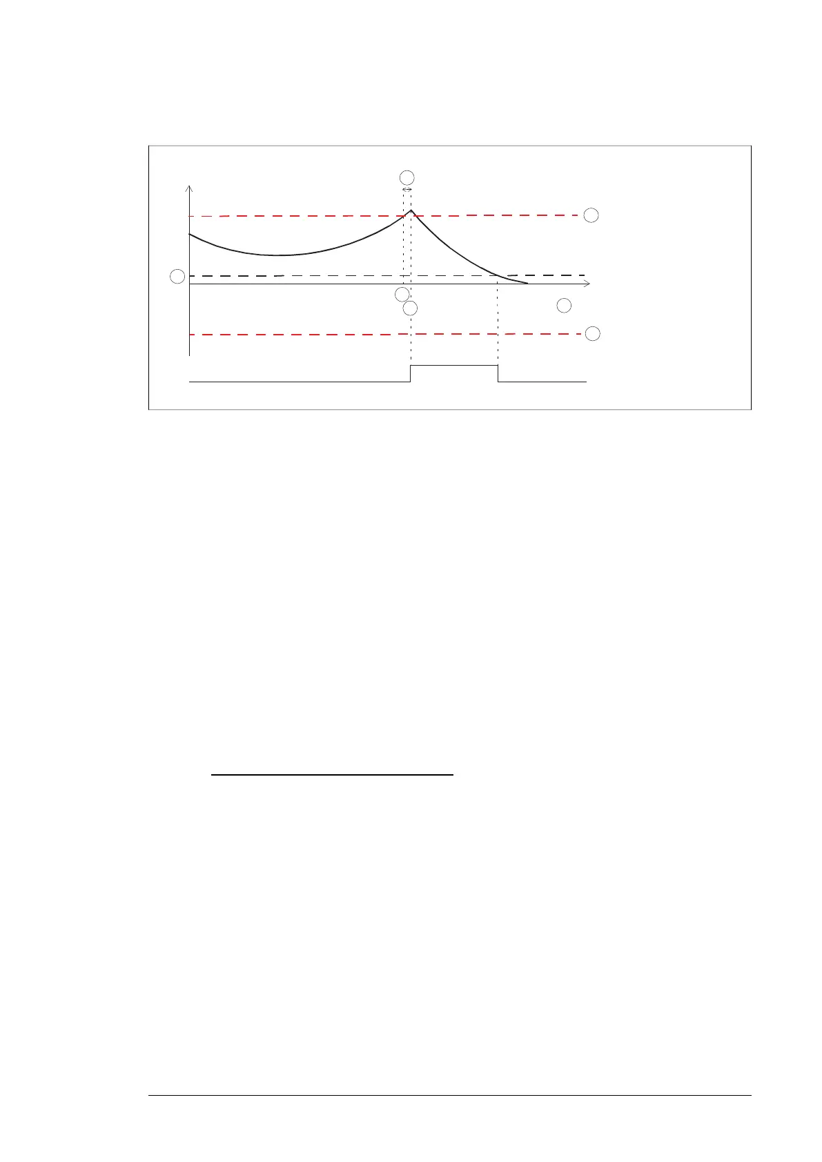
This time scheme diagram illustrates the operation of the SMS function (version 1).
2
3
Drive STO status
SSE status
B
C
1
A
Motor speed
Time
D
Safety function response timeA
SMS trip limit positive (parameter SMS.14)
B
SMS trip limit negative (parameter SMS.13)
C
Zero speed with encoder (parameter FSOGEN.52)D
1. The motor speed reaches the SMS trip limit positive.
2. After the safety function response time (A), the FSO module activates the SSE function,
which activates the drive STO. The motor coasts to a stop. In this case, the SSE function
is configured as Immediate STO (parameter SSE.13).
Note: In option +Q978, the SBC function is used to control the main contactor/breaker.
If the drive has this option and a trip limit hit occurs, STO activation causes the main
contactor/breaker to open.
3. When the motor speed reaches the zero speed limit (D), the FSO module automatically
acknowledges the SSE function (parameter STO.02 is set to Automatic) and deactivates
the drive STO. The user must reset the drive if the STO indication parameter (FSOGEN.62
or 31.22) is set so that a fault is generated.
Note: Drives with option +Q978 or +Q979: An external acknowledgement input is used
(Parameter STO.02 is set to Manual).
SSM function
When the motor speed is within the SSM limits, the SSM indication signal in the FSO module
is on.
There are four separate SSM functions in the FSO module with different parameter settings.
The SSM1 function is used as an example and in the delivered default settings of the +Q965
option. ABB activates the SSM1 function at the factory. The user sets the SSM positive and
negative speed limits at the start-up. For more information, see chapter Parameter settings
and the FSO module user's manual.
Option description 29

Table of Contents

Other manuals for ABB ACS880-37

Related product manuals