EasyManua.ls Logo

Acustica Titanium3 EQ - Page 27

Acustica Titanium3 EQ
38 pages
Print Icon
To Next Page IconTo Next Page
To Next Page IconTo Next Page
To Previous Page IconTo Previous Page
To Previous Page IconTo Previous Page
Loading...
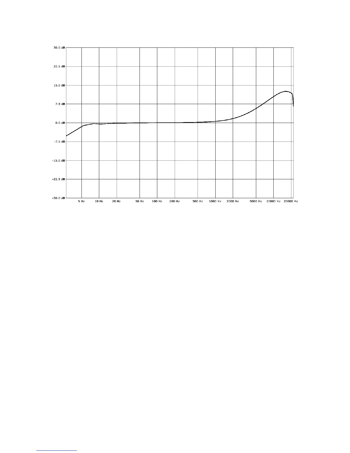
H band - 16 Hz frequency - Boost: 10 - bandwidth: 10
26