EasyManua.ls Logo

Airwell FBF030 - Page 62

Airwell FBF030
113 pages
Print Icon
To Next Page IconTo Next Page
To Next Page IconTo Next Page
To Previous Page IconTo Previous Page
To Previous Page IconTo Previous Page
Loading...
11-12
CONTROL SYSTEM
SM FBFRPM 1-A.0 GB
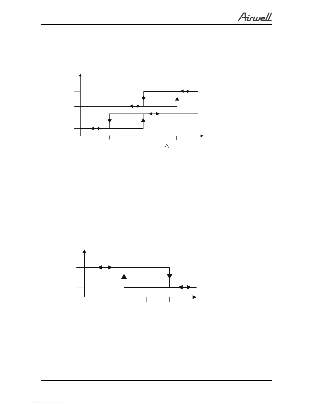
e. Heaters operation rules for RH groups:
1) In RH group, HE operation is according to the difference between RAT and
SPT.
-1 0 2
T=SP-RT [
o
c]
HE1
HE2
ON
ON
OFF
OFF
f. OFAN Operation for RC and SH groups
1) As a general rule for RC and SH groups, excluding protection modes, OFAN
starts with the compressor.
2) When OFAN is ON it will operate according to the following conditions:
a) OFAN operates together with the compressor.
b) When
50)2( tt ICTandSPTRT
and the 4.7k: resistor is not
connected to the OCT, OFAN will operate according to the following
curve:
0 3
ON
OFF
OCT
OFAN

Related product manuals