EasyManua.ls Logo

Alpha CD50 - Page 37

Alpha CD50
44 pages
Print Icon
To Next Page IconTo Next Page
To Next Page IconTo Next Page
To Previous Page IconTo Previous Page
To Previous Page IconTo Previous Page
Loading...
37
Alpha CD50 - Fault Finding
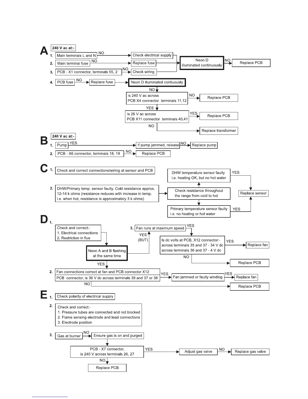
10.4 FAULT FINDING SOLUTIONS A to E

Other manuals for Alpha CD50

Related product manuals