EasyManua.ls Logo

AOC M19W531 - 4 Block Diagram; Software Flow Chart

AOC M19W531
68 pages
Print Icon
To Next Page IconTo Next Page
To Next Page IconTo Next Page
To Previous Page IconTo Previous Page
To Previous Page IconTo Previous Page
Loading...
19" LCD Color Monitor AOC M19W53
17
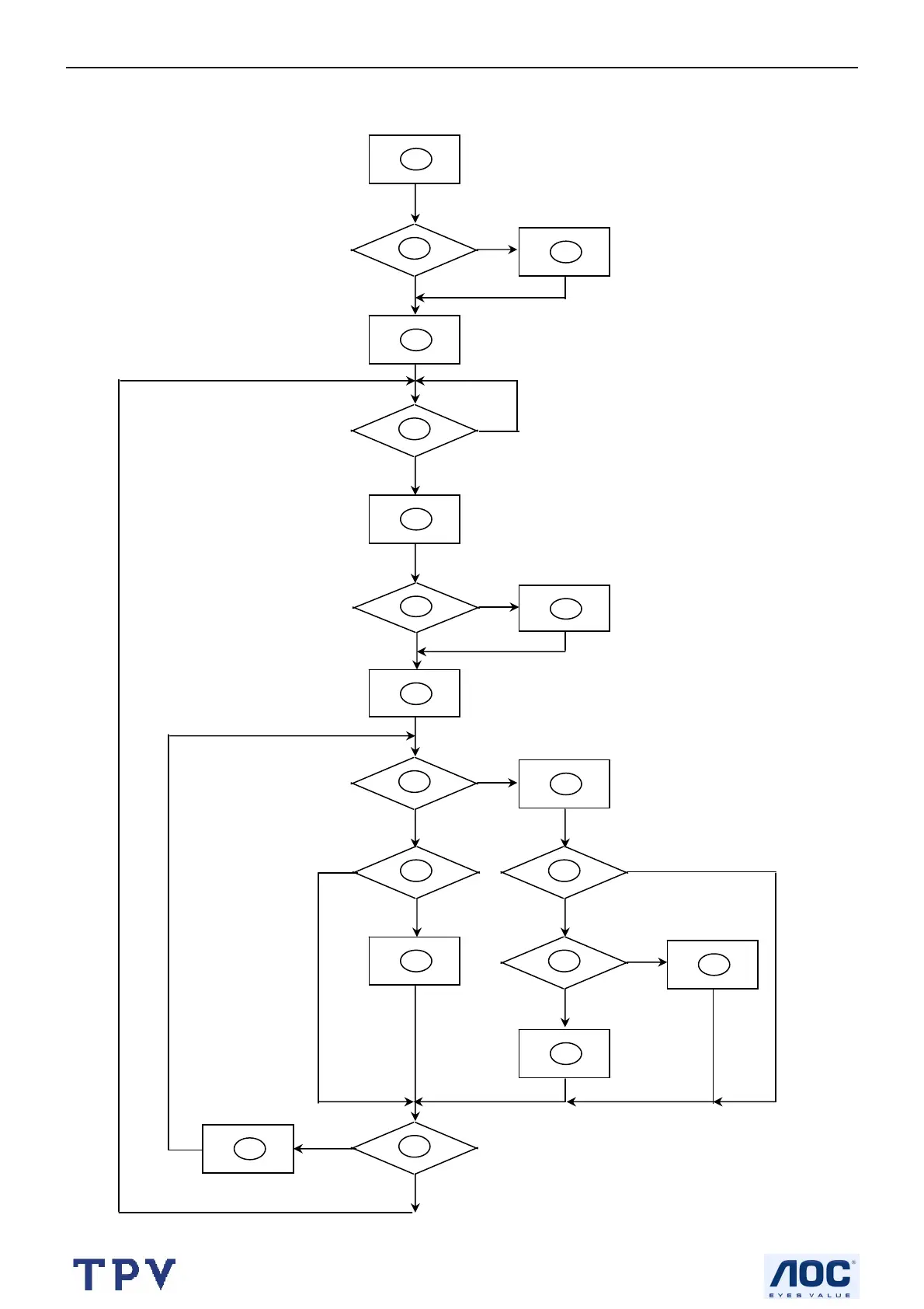
4. Block Diagram
4.1 Software Flow Chat
1
Y
2
3
N
4
N
5
Y
6
N
7
8
Y
9
N
10
11
Y
N
N
12 13
Y Y
N
14
16
15
Y
17
N
18
19
Y

Related product manuals