EasyManua.ls Logo

AOC M19W531 - Page 41

AOC M19W531
68 pages
Print Icon
To Next Page IconTo Next Page
To Next Page IconTo Next Page
To Previous Page IconTo Previous Page
To Previous Page IconTo Previous Page
Loading...
19" LCD Color Monitor AOC M19W531
41
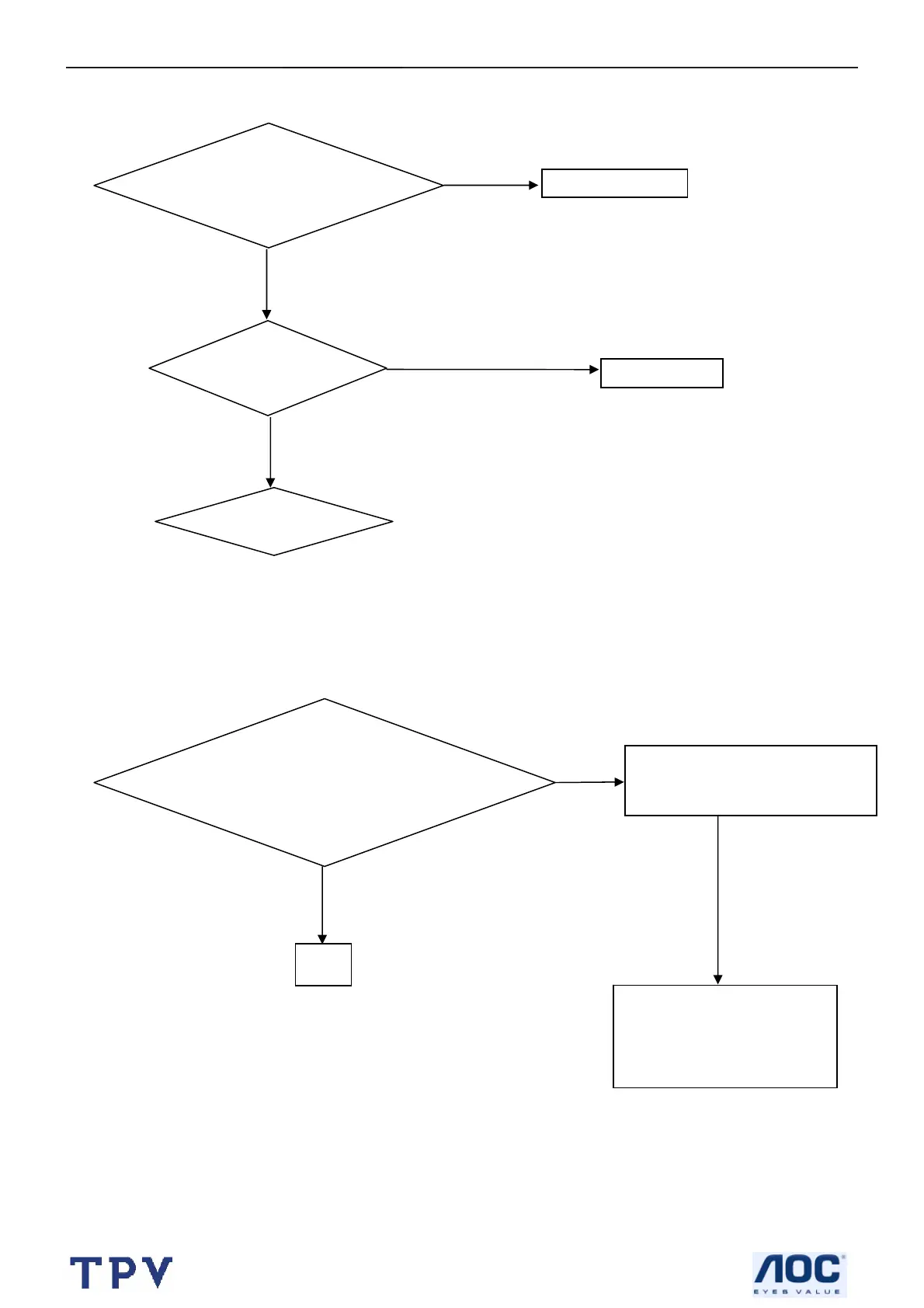
Panel Power Circuit
Check MCU
OK
Change Q122
NG
Check Q122
if OK?
CHECK Q121
NG
Check the signal of
Q122 is high voltage.
OK
U401-Data Output
NG
OK
OK
Check MST51512 (U401)
Signal output Is the waveform
ok?
Replace MST51512 (U401) or
replace Main board.
If Main Board being replaced
please do the DDC – content
reprogrammed

Related product manuals