EasyManua.ls Logo

Ariston HS C 24 FF NG

Ariston HS C 24 FF NG
68 pages
To Next Page IconTo Next Page
To Next Page IconTo Next Page
To Previous Page IconTo Previous Page
To Previous Page IconTo Previous Page
Loading...
/ 15
ОРНАТУУСТАНОВКА
Жылыту контурының құбыр жолдары мен жылыту
құралдарының мөлшерін есептеу үшін қалдық қысымды
айналдырма сорғының сипаттамасын ескере отырып, қажет
етілетін су шығынының қызметі ретінде қарастыру қажет.
∆T 200C кезіндегі қалдық қысым
Сақтандырғыш клапан
Сусіңгіш түтіктерді (жеткізу жинағындағы) F сақтандырғыш
клапанның шығысына жалғаңыз. Сақтандырғыш клапанның
сусіңгіш келте құбыры (суретті қараңыз)сусіңгіш сифонмен
сақтандырғыш клапанның жұмыс істеп тұрғанына көз жеткізе
алатындай етіп жалғастыру қажет. Болмаса, адамдарға, үй
жануарлары мен мүлікке зақым келуі мүмкін. Бұл жарақаттар
мен зиянға өндіруші жауапкершілік көтермейді.
Жылыту контурын жуу
Қазандық қолданыстағы жылыту контурына жалғанатын
жағдайда, суда қазандыққа кері әсер ететін әртүрлі қоспалар
болуы мүмкін, олар оның қызмет ету мерзімін қысқартуы
мүмкін. Алдыңғы қазандықты шешпестен бұрын жүйені
қазандыққа кері әсер етуі мүмкін ластанулардан мұқият
жуып тазалап шығыңыз. Кеңейту багының көлемі жылыту
контурындағы су мөлшеріне сәйкес келетініне көз жеткізіңіз.
0
0,5
1
1,5
2
2,5
3
3,5
4
4,5
5
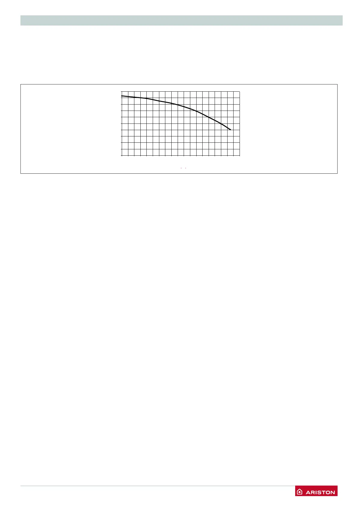
0 100 200 300 400 500 600 700 800 900
[mCE]
[l\h]
напор (М)
расход (л/час)
Для расчета размеров трубопроводов и нагревательных
приборов контура отопления остаточное давление следует
рассчитывать как функцию от требуемого расхода воды,
принимая во внимание характеристику циркуляционного
насоса.
Остаточное давление при ΔT 20 °C
Предохранительный клапан
Присоедините дренажную трубку (входящую в комплект
поставки) к выходу предохранительного клапана F.
Дренажный патрубок предохранительного клапана (см.
рисунок) следует соединить с дренажным сифоном так, чтобы
можно было визуально убедиться в работоспособности
предохранительного клапана. В противном случае может
быть причинен вред людям, домашним животным и
имуществу. За указанные травмы и ущерб производитель
ответственности не несёт.
Промывка контура отопления
Если котел подключается к существующему контуру
отопления, в воде могут иметься различные примеси,
способные оказать вредное воздействие на котел,
приводящее к сокращению срока его службы. Перед
демонтажом старого котла обязательно обеспечьте
тщательную промывку системы от загрязнений, способных
оказать вредное воздействие на котел. Обязательно
убедитесь, что емкость расширительного бака соответствует
объему воды в контуре отопления.

Table of Contents

Other manuals for Ariston HS C 24 FF NG

Related product manuals