EasyManua.ls Logo

Avery Dennison ALS 330 - Page 91

Avery Dennison ALS 330
95 pages
Print Icon
To Next Page IconTo Next Page
To Next Page IconTo Next Page
To Previous Page IconTo Previous Page
To Previous Page IconTo Previous Page
Loading...
Operators Manual
ALS 330/430
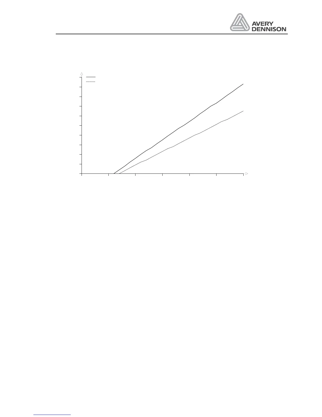
Release 8/07 Page 83 Technical specification
0 5 10 15 20 25 30 m/min
mm
0
1
2
3
4
5
6
7
8
9
10 Normal
Fast
Figure 41 Deceleration

Table of Contents

Related product manuals