EasyManua.ls Logo

Bard FH085D36D - Page 30

Bard FH085D36D
35 pages
Print Icon
To Next Page IconTo Next Page
To Next Page IconTo Next Page
To Previous Page IconTo Previous Page
To Previous Page IconTo Previous Page
Loading...
Manual 2100-392
Page 28
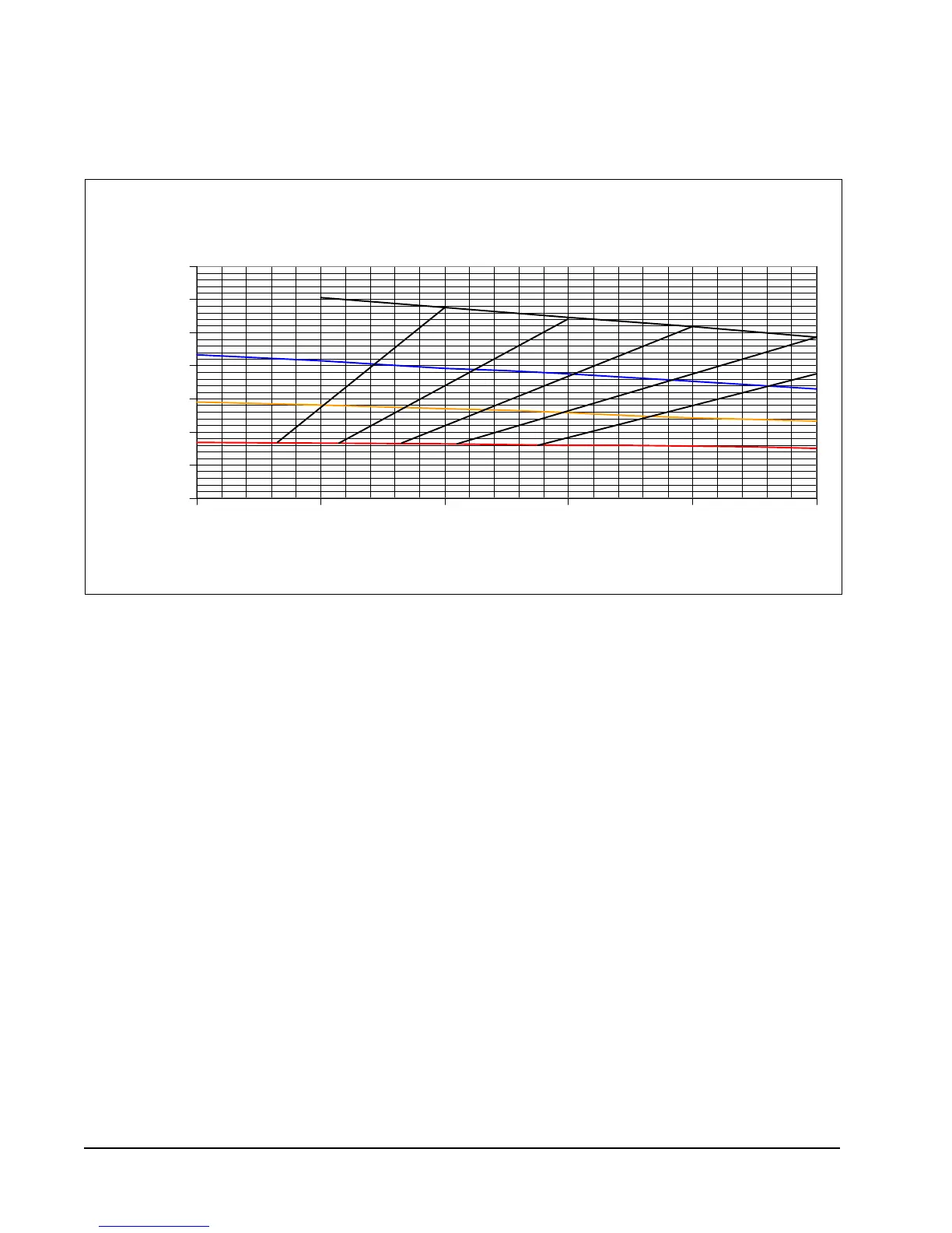
FH RESISTANCE CURVES
FH110D60D System Resistance Curves
1000
1200
1400
1600
1800
2000
2200
2400
0 0.1 0.2 0.3 0.4 0.5
External Stactic Pressure in Inches of Water
CFM Standard Airflow
HIGH
MED. HIGH
External Static Pressure in Inches of Water

Table of Contents

Related product manuals