EasyManua.ls Logo

Bosch 830 ES - Back Flow Characteristics

Bosch 830 ES
80 pages
Print Icon
To Next Page IconTo Next Page
To Next Page IconTo Next Page
To Previous Page IconTo Previous Page
To Previous Page IconTo Previous Page
Loading...
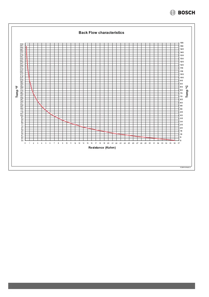
Sensor resistance charts
830 ES – 6 720 644 936 (2021/08)
66
Fig. 65

Table of Contents

Other manuals for Bosch 830 ES

Related product manuals