EasyManua.ls Logo

Bosch HBA574B.0A - Programmes; Cookware; Preparing Food

Bosch HBA574B.0A
40 pages
Print Icon
To Next Page IconTo Next Page
To Next Page IconTo Next Page
To Previous Page IconTo Previous Page
To Previous Page IconTo Previous Page
Loading...
en Programmes
26
PProgrammes
Pr o g r a mmes
You can prepare food very easily using the various
programmes. Simply select a programme and the
appliance will apply the optimal settings for you.
To achieve good results, the cooking compartment
must not be too hot. Allow the cooking compartment to
cool before starting the programme.
Cookware
Follow the instructions provided by the cookware
manufacturer.
Suitable cookware:
Use cookware that is heat-resistant up to 300 °C.
Glass or glass ceramic cookware is best. The grill can
heat through the glass lid and the roast will become
nice and crispy on the outside.
Roasting dishes made from stainless steel are not
ideal.Their shiny surface reflects a high proportion of
the radiated heat.The food will brown less readily and
the meat will be less well done. If you are using a
stainless steel roasting dish, remove the lid once the
programme has come to an end. Grill the meat at grill
setting 3 for an additional 8 to 10 minutes.
The food will brown more quickly from below if you use
a roasting dish made of enamelled steel, cast iron or
die-cast aluminium.Add a little more liquid.
Tip: If the gravy is too light or too dark, add less or
more liquid next time.
Unsuitable cookware:
Cookware made of bright, shiny aluminium, unglazed
clay or plastic, and cookware with plastic handles, is
not suitable.
Size of the cookware:
The roast should cover around two thirds of the
cookware base.This will ensure that you get good meat
juices.
The distance between the meat and the lid should be at
least 3 cm. The meat may expand as it roasts.
Preparing food
Use fresh food, ideally at fridge temperature.
Tip: Very lean meat will remain more succulent if it is
covered with rashers of bacon.
Weigh your food. You need the weight in order to set
the programme. Always round up to the nearest weight.
Place the cookware onto the wire rack. Always place
the ovenware into the cooking compartment without
preheating it.
Programmes
When the roast is ready, it can be left to rest for an
additional 10 minutes in the cooking compartment with
the appliance switched off and the door closed. This
allows for better distribution of the meat juices.
The weight can be set to between 0.5 kg and 2.5 kg.
Note: The weight range is deliberately limited.For very
large items of food, there is often no suitable cookware
available, meaning that the cooking result would not be
what was expected.
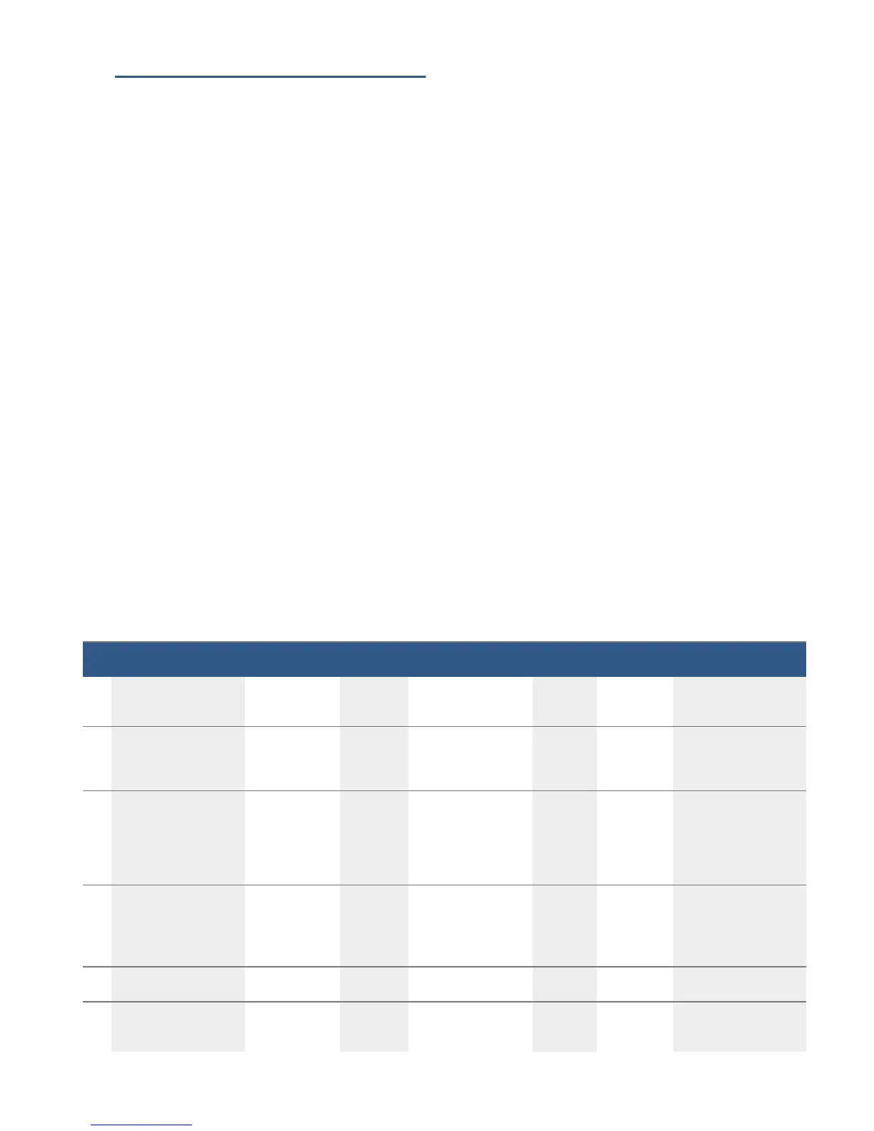
Programme Food Cookware Add liquid Shelf posi-
tion
Set weight Information
01 Chicken, not stuffed Ready to cook,
seasoned
Roasting
dish with
glass lid
No 2 Chicken
weight
Place in the cookware
with the breast at the top
02 Turkey breast Whole, seasoned Roasting
dish with
glass lid
Cover the bottom of the
roasting dish, and add
up to 250 g vegetables
if you wish
2 Turkey breast
weight
Do not sear the meat
beforehand
03 Stew, with vegetables Vegetarian Deep roast-
ing dish with
lid
As per recipe 2 Total weight Cut vegetables that take
longer to cook (e.g. car-
rots) into smaller pieces
than vegetables that take
less time to cook (e.g.
tomatoes)
04 Goulash Diced beef or
pork with vegeta-
bles
Deep roast-
ing dish with
lid
As per recipe 2 Total weight Place the meat at the bot-
tom and cover with vege-
tables.
Do not sear the meat
beforehand.
05 Meat loaf, fresh Minced beef, pork
or lamb
Roaster with
lid
No 2 Roast weight -
06 Pot-roasted beef E.g. forerib, shoul-
der, rump or mari-
nated beef roast
Roaster with
lid
Meat almost covered
with liquid
2 Meat weight Do not sear the meat
beforehand

Table of Contents