EasyManua.ls Logo

BSS Audio FCS-960 - Page 17

BSS Audio FCS-960
26 pages
Print Icon
To Next Page IconTo Next Page
To Next Page IconTo Next Page
To Previous Page IconTo Previous Page
To Previous Page IconTo Previous Page
Loading...
17
Filter Shape and Interaction Effects
Fig 7. shows the effect on selectivity as different levels of boost (or
cut) is applied, for conventional equaliser filters and for the constant Q
type used in FCS-930/960. The improvement in selectivity at low
levels of boost is clearly shown for the constant Q design.
When adjacent filters are adjusted there will always be some interaction
affect, and the degree that is required is dependent on the application.
Fig 8 shows a series of curves indicating the interaction effect when two
adjacent filters are selected.
Curve A is one filter selected for 6dB of boost. Curve B shows the
combined effect when an adjacent filter is also selected for 3dB of boost.
The precise selectivity achieved by the FCS-930/960 in its fine mode can
be clearly seen, the normal mode also exhibiting improved selectivity
over contemporary designs. The gyrator design shows a very low degree
of selectivity together with a much larger change in maximum boost at
the original centre frequency, as the adjacent filter is added.
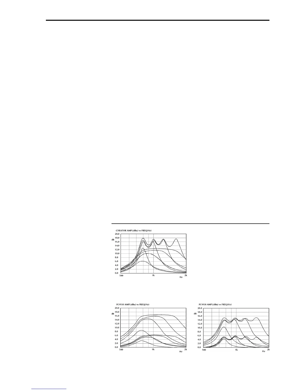
Fig 9. shows another series of curves demonstrating the effects of having
1,2,3 and 4 faders successively adjusted, for both half and full boost
fader settings.
The FCS-930/960 in it’s Normal mode shows very smooth combining
properties with almost complete absence of ripple, even at full boost. For
the Fine mode precise selectivity and minimal interaction is achieved at
half boost, whilst for full boost combining ripple is minimal. The curves
Fig 9. Combining of
1,2,3,and 4 Consecutive
Faders
Half and Full Boost
Combining Effects
GENERAL GYRATOR DESIGN
FCS-930/960 NORMAL MODE FCS-930/960 FINE MODE

Related product manuals