EasyManua.ls Logo

Buderus Ecomatic HS 2102 - Sensor Curves

Buderus Ecomatic HS 2102
31 pages
Print Icon
To Next Page IconTo Next Page
To Next Page IconTo Next Page
To Previous Page IconTo Previous Page
To Previous Page IconTo Previous Page
Loading...
Sensor Curves 12
27
41
50 59
68
77
86
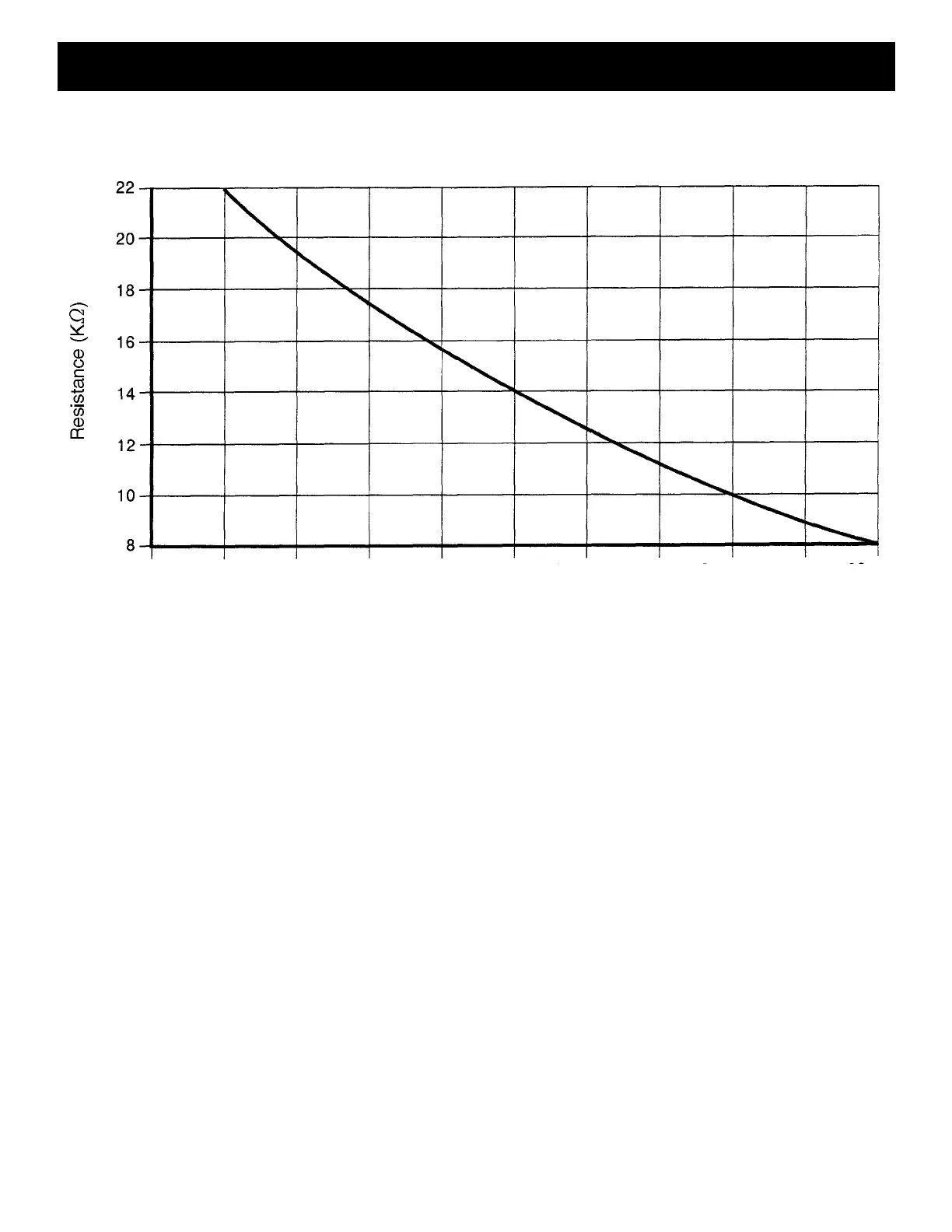
Room Temperature (°F)
Room Temperature Sensor (BF)
Switch the power off before taking any measurements. Remove sensors from the back of the Ecomatic and measure
the resistance of the cable ends. The curves show mean values and are subject to deviations.
26
Outdoor Temperature (˚F)
Boiler, domestic hot water temperature sensors (FK, FB)
Outdoor temperature sensor (FA)
Boiler Water Temperature (˚F)
5
14
23
32
41
50
59
68
86
104 122 140
158
176
194
12 Sensor Curves (General)

Related product manuals