EasyManua.ls Logo

Bunn OT - Page 88

Bunn OT
176 pages
Print Icon
To Next Page IconTo Next Page
To Next Page IconTo Next Page
To Previous Page IconTo Previous Page
To Previous Page IconTo Previous Page
Loading...
NUMERICAL INDEX
kl 8 0
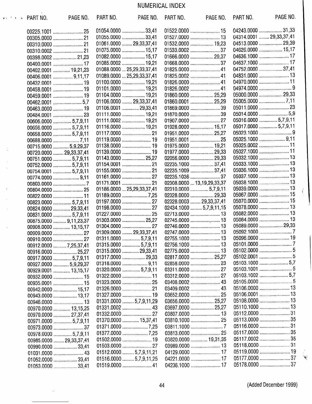
PARTNO. PAGENO.
00225.1001 .......................
25
00305.0000
.......................
21
00310.0000 .......................
21
00310.0002
.......................
21
00398.0002
..................
21,23
00400.0001
.......................
17
00402.0001
.............
19,21,23
00406.0001
...............
9,11,17
00432.0001 .......................
19
00458.0001
.......................
19
00459.0001 .......................
19
00462.0001
..................... .5,7
00463.0000
....................... 19
00484.0001
...................... .23
00606.0000
..............
5,7,9,11
00656.0000
............. .5,7,9,11
00658.0000
.............. 5,7,9,11
00688.0000
.................... 7,ll
00715.0000 ............
5,9,29,37
00720.0000
...... ..29,33,37,4 1
00751.0000
............. .5,7,9,11
00752.0000 ..............
5,7,9,11
00754.0001 ..............
5,7,9,11
00774.0000
...................
.9,11
00803.0000
........................ .7
00804.0000
......................
.25
00822.0000 .......................
11
00823.0000 ..............
5,7,9,11
00824.0000
............. 29,33,41
00831.0000
..............
5,7,9,11
00875.0000
..........
9,11,23,37
00908.0000
.............
13,15,17
00909.0000 ......................
.27
00910.0000 .......................
27
00912.0000
......... .7,25,37,41
00916.0000
.................. 25,27
00917.0000
.............. 5,7,9,11
00927.0000
........... .5,9,29,37
00929.0001
............. 13,15,17
00932.0000
...................... .I5
00935.0001 .......................
15
00942.0000
..................
15,17
00943.0000
..................
13,17
00946.0000
....................... 13
00970.0000 .............
13,15,25
00970.0000
.............
27,37,41
00971.0000
.............. 5,7,9,11
00973.0000 .......................
37
00978 .OOOO
..............
5,7,9,11
00985.0000 ......
..29,33,37,4 1
00990.0000 ..................
33,41
01031.0000
.......................
43
01052.0000
.................
.33,41
01053.0000
.................. 33,41
PARTNO.
PAGENO.
01054.0000
.................. 33,41
01055.0000 .................. 33,41
01061.0000
........
29,33,37,41
01075.0000 .................. 15,17
01082.0000 .................. 15,17
01085.0002
.................. 19,21
01088.0000. ..25,29,33,37,4 1
01089.0000
. ..25,29,33,37,4 1
01100.0000 ................ ..19.2 1
01101.0000
................ ..19.2 1
01104.0000
................ ..19.2 1
01106.0000 ........ 29,33,37,41
01106.0001
............. 29,33,41
01111.0000
.................. 19,21
01111.0002 .................. 19,21
01116.0000 .................. 19,21
01117.0000
....................... 21
01119.0000
....................... 19
01138.0000
....................... 19
01139.0000
....................... 19
01143.0000
.................. 25,27
01154.0001
...................... .21
01155.0000 ...................... .21
01161.0000 ....................... 27
01171.0001
....................... 21
01186.0000. ..25,29,33,37,4 1
01189.0000
.................. ..7.2 5
01197.0000
....................... 27
01198.0000 ...................... .27
01227.0000
....................... 25
01303.0000 ..................
25,27
01304.0000
....................... 27
01309.0000 ........ 29,33,37,41
01311.0000 .............. 5,7,9,11
01315.0000 .............. 5,7,9,11
01315.0000 ............. 29,33,41
01317.0000 .................. 29,33
01318.0000
................... .9,11
01320.0000 .............. 5,7,9,11
01322.0000 ....................... 11
01323.0000 ...................... .25
01326.0000
....................... 21
01327.0000
....................... 19
01331.0000
......... 5,7,9,11,29
01331.000? ....................... 43
01332.0000
....................... 27
01370.0000
............. 15,37,41
01371.0000
.................... 7,25
01377.0000
.................... 7,25
01502.0000 .......................
19
01503.0000
...................... .27
01512.0000 ......... 5,7,9,11,21
01516.0000 ......... 5,7,9,11,25
01519.0000 ....................... 41
PARTNO.
PAGENO.
01522.0000
...................... .I5
01527.0000
....................... 13
01532.0000
.................. 19,23
01533.0002
...................... .37
01666.0000
..................
29,37
01668.0000 .......................
37
01825.0000
..................... ..4 1
01825.0002
..................... ..4 1
01826.0000
...................... .41
01826.0002
...................... .41
01860.0000 ..................
25,29
01860.0001 .................. 25,29
01869.0000
...................... .39
01870.0000
...................... .39
01907.0000
...................... .27
01928.0000 ..................
15,17
01951.0000 .................. 25,27
01951 .OOOl .......................
25
01975.0000 .................. 19,21
01977.0000 ..................
29,33
02056.0000 .................. 29,33
02235.1000
.................. 37,41
02235.1009 ..................
37,41
02235.1036
...................... .37
02308.0000. ..13,19,29,33,3 7
02310.0000 .............. 5,7,9,11
02328.0000 .................. 29,33
02328.0003 ....... .29,33,37,41
02434.1000 ......... 5,7,9,11,15
02713.0000
.......................
13
02745.0000
...............
. .......
13
02746.0000 .......................
13
02747.0000
....................... 13
02755.1000
.......................
13
02756.1000
.......................
13
02775.0000
.......................
13
02817.0000
..................
25,27
02858.0000
...................... .23
03311.0000
...................... .27
03312.0000
...................... .27
03408.0002
...................... .43
03409.0002
....................... 43
03652.0000
.....
.
................ .25
03656.0000
..................
25,27
03697.0000
.................. 25,27
03807.0000 .......................
13
03810.1000
...................... .25
03811.1000
.........................
7
03813.0000 .......................
25
03820.0000
............. 19,31,35
03989.0000 .......................
13
04129.0000
.......................
17
04221.0000 .......................
17
04236.1000
.......................
17
PARTNO.
PAGENO.
04243.0000
.................
-31 ,33
04314.0001
........ 29,33,37,41
04513.0000
..................
29,39
04626.0000
.................. 15,17
04636.1000
.......................
17
04637.1000
.......................
17
04752.0000 .................. 37,41
04831.0000
.......................
13
04970.0000
......................
.I1
04974.0000
......................... 9
05000.0000
..................
29,33
05005.0000 ....................
7,ll
05011.0000
....................... 23
05014.0000
......................
5,9
05016.0000 .............. 5,7,9,11
05017.0000 .............. 5,7,9,11
05023.1000
........................
.9
05025.1000
.................... 9,ll
05025.0002
....................... 11
05027.1000
....................... 11
05032.1000
....................... 13
05033.1000 .......................
13
05036.1000
.......................
13
05037.1000
.......................
13
05038.1000
....................... 13
05039.0000
....................... 13
05067.0000 .......................
15
05070.0000
.......................
15
05078.0000
.......................
13
05082.0000
.......................
13
05084.0000
......................
.I3
05089.0000
.................
.29,33
05092.1000
.........................
7
05096.0000
.......................
19
05101.0000
.........................
7
05102.0000
........................
.5
05102.0001
......................... 5
05103.1000
...................... 5,7
05103.1001
......................... 5
05103.1002
.....................
.5,7
05105.0000
.........................
5
05106.0000
.....................
..I 3
05106.0001
......................
.I3
05108.0000
......................
.I3
05110.1000
.......................
13
05112.0000
.......................
31
05113.0000
......................
,35
05116.0000
.......................
31
05117.0000 .......................
35
05117.0002
......................
.35
05118.0000
......................
.31
05119.0000
....................... 19
05177.0000
.......................
37
05178.0000
......................
.37
44
(Added December1999)
Part I

Other manuals for Bunn OT

Related product manuals