EasyManua.ls Logo

CARE SPIDER - Page 23

CARE SPIDER
Print Icon
To Next Page IconTo Next Page
To Next Page IconTo Next Page
To Previous Page IconTo Previous Page
To Previous Page IconTo Previous Page
Loading...
El entrenamiento Cardio – Training
Permite desarrollar el sistema cardiovascular (tonicidad cardiaca / vasos sanguíneos).
Durante un entrenamiento Cardio – Training, los músculos requieren un aporte de oxígeno y sustancias
nutritivas, y también necesitan eliminar las sustancias de desecho. Nuestro corazón acelera el ritmo
cardiaco, enviando una mayor cantidad de oxígeno al organismo a través del sistema cardiovascular.
Como con cualquier otro músculo, cuanto más ejercicio se haga de manera regular y repetitiva, más se
desarrollará el corazón. En la vida cotidiana, esto se traduce en una mayor capacidad para soportar
esfuerzos físicos considerables, y en un aumento de las facultades mentales.
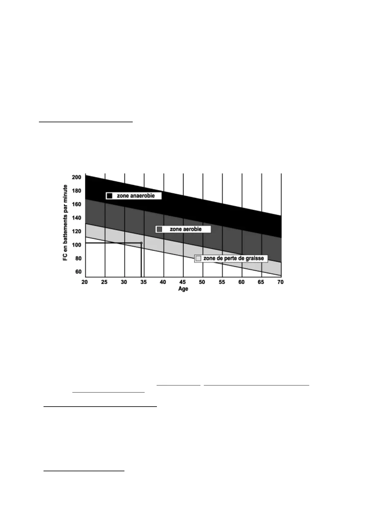
Definición de su zona de trabajo
La frecuencia cardiaca máxima (FCM) = 220 – edad (180 – edad, para las personas sedentarias).
La zona de calentamiento y enfriamiento es igual al 55% de su FCM.
La zona de pérdida de grasa está comprendida entre el 55% y el 65% de su FCM.
La zona aeróbica está comprendida entre el 65% y el 85% de su FCM.
La zona anaeróbica está comprendida entre 85% y el 100% de su FCM.
1) Una fase de calentamiento
Comience cada sesión de entrenamiento con un calentamiento progresivo (10-20 minutos, o más tiempo
por encima de los 50 años) que le despertará los músculos y aumentará suavemente su ritmo cardiaco.
Aumente gradualmente sus pulsaciones hasta el 55% de su FCM (frecuencia cardiaca máxima).
Mantenga su frecuencia cardiaca a este nivel durante todo el periodo de calentamiento.
Si comienza su entrenamiento demasiado deprisa, puede aumentar el riesgo de sufrir lesiones
tendinomusculares.
2) Una fase de trabajo
Ésta es la parte principal del entrenamiento.
Dependiendo de sus objetivos concretos, pérdida de peso, mejora de la resistencia cardiovascular (trabajo
aeróbico), desarrollo de la resistencia (trabajo anaeróbico), podrá escoger la zona objetivo adecuada.
La zona de pérdida de grasa (55 – 65%)
La frecuencia cardiaca debe ser baja, y la duración del ejercicio bastante larga. Esta es la zona
recomendada para las personas que retoman una actividad física después de mucho tiempo, que
desean reducir el exceso de peso o que están expuestos a problemas cardiacos. No olvide que para
este tipo de entrenamiento, la duración del ejercicio debe ser de al menos 30 minutos, y la frecuencia
cardiaca (FC) debe estar comprendida entre el 55% y el 65% de la FCM.
- Aumente gradualmente la sesión de 30 a 60 minutos
- Ejercítese 3 ó 4 veces a la semana
La zona aeróbica (65 – 85%)

Related product manuals