EasyManua.ls Logo

CARE SPIDER - Page 35

CARE SPIDER
Print Icon
To Next Page IconTo Next Page
To Next Page IconTo Next Page
To Previous Page IconTo Previous Page
To Previous Page IconTo Previous Page
Loading...
training vast te stellen. Na deze vaststelling moet u niet proberen uw maximum gelijk al met de eerste
trainingen te bereiken maar geduldig blijven: uw prestaties zullen snel toenemen.
De harttraining (cardiotraining):
Deze training heeft tot doel uw hart en bloedvaten te versterken.
Tijdens een harttraining hebben de spieren zuurstof en voedingsstoffen nodig en moeten de vrijgekomen
afvalstoffen worden afgevoerd. Ons hart versnelt het ritme en voert via het hart en vaatstelsel een grotere
hoeveelheid zuurstof naar het organisme.
Een herhaalde en regelmatig uitgevoerde training versterkt het hart net als alle andere gewone spieren. In
het dagelijkse leven komt dit tot uitdrukking in een groter vermogen lichamelijke inspanningen te kunnen
verwerken en in een vergroting van de intellectuele capaciteiten.
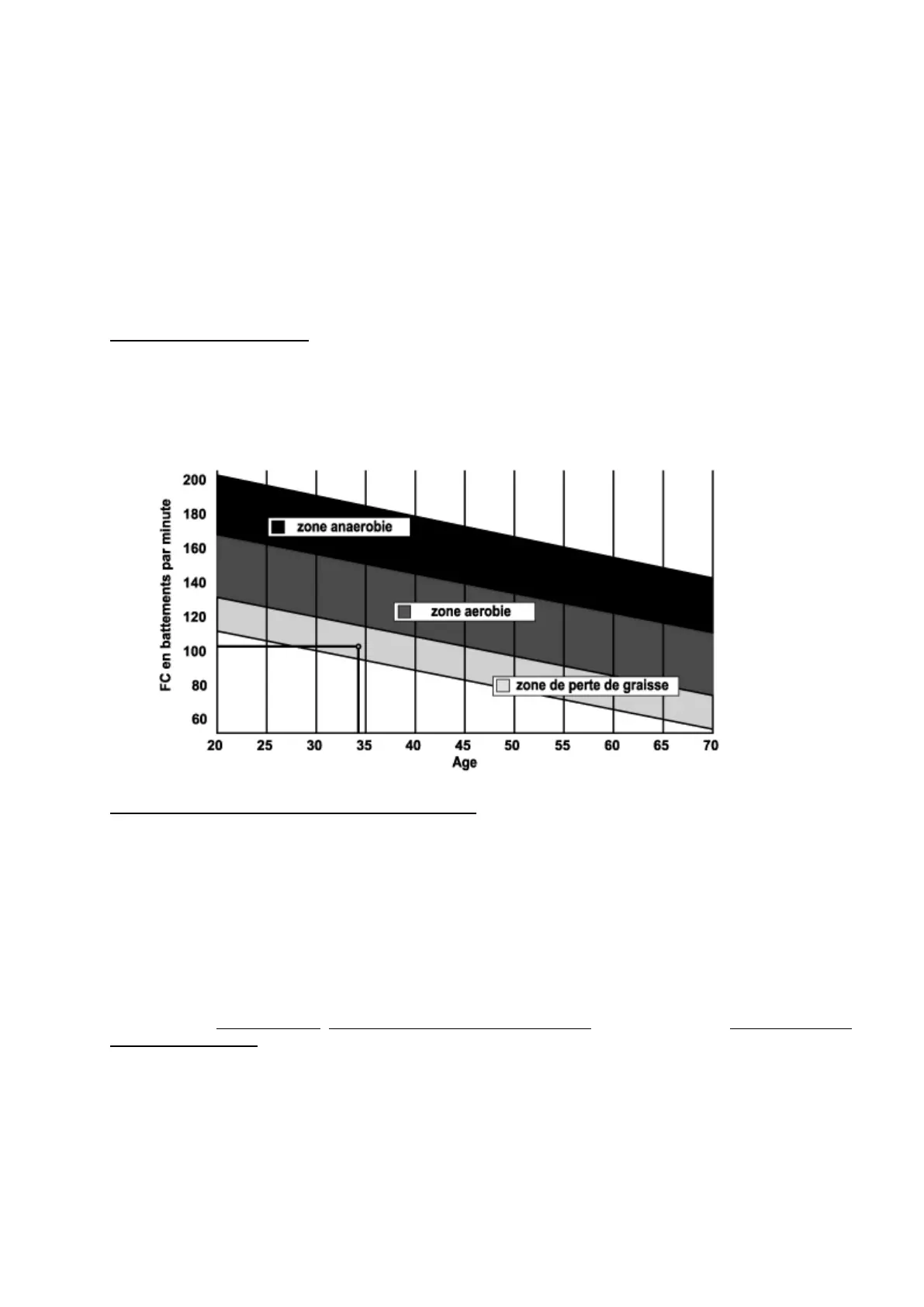
Bepaling van uw doelzone:
De maximale hartfrequentie (MHF) = 220 - leeftijd (180 - leeftijd voor personen met een zittend leven).
De zone voor opwarming en afkoeling na de inspanning is gelijk aan 55% van uw MHF.
De zone voor vetverlies ligt tussen 55 / 65% van uw MHF.
De aërobe zone ligt tussen 65 / 85% van uw MHF.
De anaërobe zone ligt tussen 85% / 100% van uw MHF.
De etappes van een geleidelijke trainingsopbouw:
1) Een fase van opwarming (warming-up):
Elke training moet met een geleidelijke opwarming worden begonnen (10-20 minuten, meer na 50 jaar) om
uw spieren soepel te maken en uw hartfrequentie geleidelijk aan te verhogen. Het aantal slagen moet
stapsgewijs naar 55% van uw MHF (maximale hartfrequentie) worden gebracht.
Tijdens de duur van de opwarming moet uw hartfrequentie op dit niveau worden gehouden.
U verhoogt het risico op pees- en spierblessures als te snel de eigenlijke training wordt begonnen.
2) Een fase van training:
Dit is het hoofdgedeelte van de training.
Afhankelijk van uw eigen doelstellingen en uw lichamelijke conditie kunt u de passende doelzone kiezen en
gericht trainen: gewichtsverlies, verbetering van uw hart en bloedvaten (aërobe training) of vergroting van uw
uithoudingsvermogen (anaërobe training).
De zone voor vetverlies, 55 - 65%
De hartfrequentie moet laag en de trainingsduur vrij lang zijn. Deze zone wordt met name aangeraden voor
personen die opnieuw een lichamelijke inspanning doen na een lange periode van inactiviteit, personen
die overtollig gewicht willen kwijtraken of personen die hartproblemen ondervinden. U moet niet
vergeten dat voor dit type training de trainingsduur minstens 30 minuten moet zijn en dat de hartfrequentie
(HF) tussen 55 en 65% van de MHF moet liggen.
- Geleidelijk verhogen van 30 naar 60 minuten per training.

Related product manuals