EasyManua.ls Logo

CARE SPIDER - Page 5

CARE SPIDER
Print Icon
To Next Page IconTo Next Page
To Next Page IconTo Next Page
To Previous Page IconTo Previous Page
To Previous Page IconTo Previous Page
Loading...
L’entraînement Cardio – Training :
Il permet de développé le système cardio – vasculaire (tonicité cœur / vaisseaux sanguin).
Lors d'un entraînement Cardio Training , les muscles ont besoin d'un apport d'oxygène, de substances
nutritives, et d'éliminer leurs déchets. Notre cœur accélère son rythme, et véhicule vers l'organisme par
l'intermédiaire du système cardio-vasculaire une quantité plus importante d'oxygène.
Plus on effectue d'exercices de façon régulière et répétitive, plus le cœur se développe à la manière d'un
muscle ordinaire. Dans la vie courante, ceci se traduit par la faculté de supporter des efforts physiques plus
importants, et d'augmenter ses facultés intellectuelles.
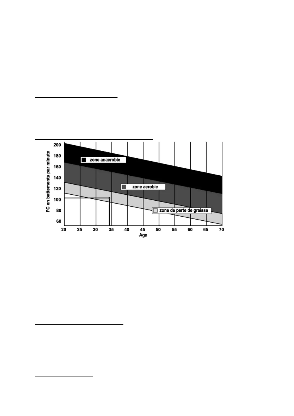
Définition de votre Zone de travail :
La fréquence cardiaque maximale (FCM) = 220 – âge (180 – âge pour les personnes sédentaires).
La Zone d’échauffement et de retour au calme est égale à 55% de votre FCM.
La Zone de Perte de Graisse est comprise entre 55 / 65% de votre FCM.
La Zone Aérobie est comprise entre 65 / 85% de votre FCM.
La Zone Anaérobie, est comprise entre 85% de votre FCM et celle ci.
Les étapes d’un entraînement progressif :
1) Une phase d'échauffement :
Commencez chaque entraînement par un échauffement progressif (10-20 mn, plus au-delà de 50 ans) qui
mettra en éveil vos muscles et élèvera doucement votre rythme cardiaque. Elevez doucement vos pulsations
à 55% de votre FCM (Fréquence Cardiaque Maximale).
Tenez votre Fréquence Cardiaque à ce niveau pendant la durée de l’échauffement.
Si vous commencez trop rapidement votre entraînement, vous risquez d’augmenter les risques de blessures
tendino - musculaire.
2) Une phase de travail :
C’est la partie principale de l’entraînement.
Selon vos buts spécifiques, perte de poids, amélioration de la résistance cardio – vasculaire (travail aérobie),
développement de la résistance (travail anaérobie) il est possible de choisir la zone cible adéquate.
La Zone de Perte de Graisse, 55 - 65%
La fréquence cardiaque doit être basse et la durée d'exercice assez longue. Cette zone est conseillée pour
les personnes reprenant une activité physique depuis longtemps oubliée, recherchant à éliminer un
surcroît pondérale, ou exposées à des problèmes cardiaques. N’oubliez pas que pour ce type
d’entraînement la durée de l’exercice doit être d’au moins 30 minutes et la Fréquence Cardiaque (FC)
comprise entre 55 et 65% de la FCM .
- Elevez graduellement de 30 à 60 minutes par séance.
- Exercez vous 3 ou 4 fois par semaine.
La Zone Aérobie, 65-85%

Related product manuals