EasyManua.ls Logo

Comunello RAM 220 - Installation; Contrôles Préliminaires; Limites Dutilisation; Travaux Préalables À Linstallation

Comunello RAM 220
Print Icon
To Next Page IconTo Next Page
To Next Page IconTo Next Page
To Previous Page IconTo Previous Page
To Previous Page IconTo Previous Page
Loading...
20
COMUNELLO ®Copyright 2013 - All right reserved
4 INSTALLATION
4.1 CONTRÔLES PRÉLIMINAIRES
Avantdeprocéderàl’installation,vérierquelescomposantsduproduitsont
enbonétatetquelemodèlechoisiestadaptéaulieud’installationprévu:
• Vérier que tout le matériel à utiliser est en parfait état et adapté à
l’utilisationprévue.
• Vérier que la structure mécanique du portail est prévue pour être
équipée d’un automatisme. Ce produit peut uniquement équiper un
portailenparfaitétat-entermesdefonctionnementetdesécurité;ilne
pourraenoutrerésoudrelesproblèmesliésàuneinstallationincorrecte
ouàunentretieninsufsantduportail.
• Vérier que le fonctionnement du dispositif est conforme aux limites
d’utilisationdéclarées.
• Déplacermanuellementlesvantauxduportaildanslesdeuxdirections
etvérierquel’effortestconstant.
• Placer manuellement les vantaux du portail dans une position
quelconque et s’assurer qu’ils restent immobiles.
• Vérier que le logement de l’opérateur est compatible avec les
dimensionshors-toutdecedernier,etquel’espacedisponiblepermet
larotationcomplètedesonbras.
• Vérier qu’un espace sufsant est prévu à côté de l’opérateur pour
effectuersamanœuvremanuellededébrayage.
• Vérierquelessurfacesprévuespourl’installationdesdispositifssont
résistantesetgarantissentunexationsolide.
• S’assurerquelesdispositifssontinstallésdansunepositioncorrecteet
protégéscontretoutchocaccidentel.
4.2 LIMITES D’UTILISATION
Avantdeprocéderàl’installation,vérierquelemoteurestdimensionnéen
fonctiondupoidsetdelalongueurdesvantauxetcorrespondauxvaleurs
indiquéesauchapitre«Caractéristiquestechniquesduproduit».
4.3 TRAVAUX PRÉALABLES À L’INSTALLATION
Se reporter aux FIG. 1A et 1B pour établir l’emplacement approximatif
de chaque composant dans l’installation et le schéma de branchement
correct.Listedescomposantsnécessaires:
• Opérateursélectromécaniques.
• Pairedephotocellules.
• Pairedebutéesd’arrêtenouvertureetbutéed’arrêtenfermeture.
• Colonnespourphotocellules.
• Indicateurclignotant.
• Sélecteuràcléouclaviernumérique.
• Électroserrureverticale(conseilléepourfermeturessupérieuresà3m).
• Logiquedecommande.
4.4 INSTALLATION DE L’OPÉRATEUR RAM
4.4.1 INSTALLATION
• Procéderaudébrayagemanuelcommeindiquéauchapitre4.4.3.
• Déterminerlapositiondel’automatismeàhauteurd’unetraversesolide.
• Fixertemporairementlaplaquepostérieuraupilier,lequeldoitprésenter
unelargeurmin.de100mm(FIG.2)
• Avecleportail entièrement fermé,xerlaplaque antérieure auvantail
(FIG.3).
• Accouplerlemoteuràl’étrierpostérieuraumoyendelavisetdel’écrou
fournis(FIG.4).Nepasinstallerl’opérateuraveclecouvercledirigévers
le haut.
• Fixerlepistonàlaplaqueantérieureaumoyendelavisetdel’écrou
fournis(FIG.4)
4.4.2 INSTALLATION FIN DE COURSE
L’opérateurRAMn’estpaséquipédensdecourseélectroniques,etilest
doncindispensabledeprévoirdesbutéesmécaniquesenfermetureeten
ouverture du portail à automatiser.
4.4.3DÉBRAYAGEMANUELDUMOTEUR
Utiliser le débrayage manuel pour ouvrir le portail en mode manuel.
L’activationdudébrayagepeutentraînerdesmouvementsincontrôlésdu
portailencasdedéséquilibreoudeproblèmemécanique.
Pourdébrayerlemoteur,procédercommesuit:
• Ouvrirlepanneauenplastiqueetactiverlapoignéededébrayage(FIG.5).
• Tournerlapoignéedanslesensdesaiguillesd’unemontre(FIG.6).
• Cettemanœuvrelibèrel’engrenageetpermetl’ouverturemanuelledu
portail(FIG.7).
• Pourrétablirlacommandemotorisée,placerlapoignéeenposition
initiale(FIG.8).
• Retirerlapoignéeetlaplacerdansunendroitsûr(FIG.9).
5 PRÉDISPOSITION AUX BRANCHEMENTS
ÉLECTRIQUES
• Débrayerlemoteurmanuellementcommeindiquéaupar.4.4.3.
• Retirerl’élémentenplastiquecommereprésentéàlaFIG.10.
• Desserrerlepresse-étoupeGaubasdumoteur.FIG.10.
• Introduirelecâbled’alimentationFIG.11.
• Raccorderleslsauborniercommeindiquésurl’étiquetteplacéeàproximité.
• RaccorderlamiseàlaterreàlabornerondeprèsdubornierFIG.11.
• Bloquerlecâbleenserrantlepresse-étoupe.
6 ESSAI
Chaqueélémentdel’automatismecommeparexemplelesbordssensibles,
les photocellules, l’arrêt d’urgence, etc., exige une phase spécique
d’essai; pour ces dispositifs, effectuer les procédures gurant dans les
manuels d’instruction correspondants. Pour l’essai de RAM, effectuer la
séquenced’opérationssuivante:
• Vérier que toutes lesindications dece manuel sontrigoureusement
respectées,enparticuliercellesduchapitre1«Avertissements».
• En utilisant les dispositifs de commande ou d’arrêt prévus
(sélecteur à clé, boutons de commande ou émetteurs radio),
effectuer des essais d’ouverture, de fermeture et d’arrêt du
portail et vérier que le comportement de ce dernier est régulier.
• Vérier lefonctionnementdetousles dispositifs de sécuritéprésents
dansl’installation(photocellules,bordssensibles,arrêtd’urgence,etc.).
• Si les situations de danger entraînées par le mouvement du
vantail ont été prévues via limitation de la force d’impact, mesurer
la puissance selon les dispositions de la norme EN 12445.
7 ENTRETIEN
L’entretien doit être effectué régulièrement par un personnel qualié et
conformément aux lois et normes en vigueur. RAM exige un entretien
programméaprèsunepériodemax.de6moisouaprès10.000manœuvres
effectuéesdepuisladernièreinterventiond’entretien.
• Débranchertouteslessourcesd’alimentationdumoteur.
• Vérieretremplacertouslescomposantsd’actionnementsusés.
• Vérierl’étatd’usuredetouslescomposantsdel’automatisme.
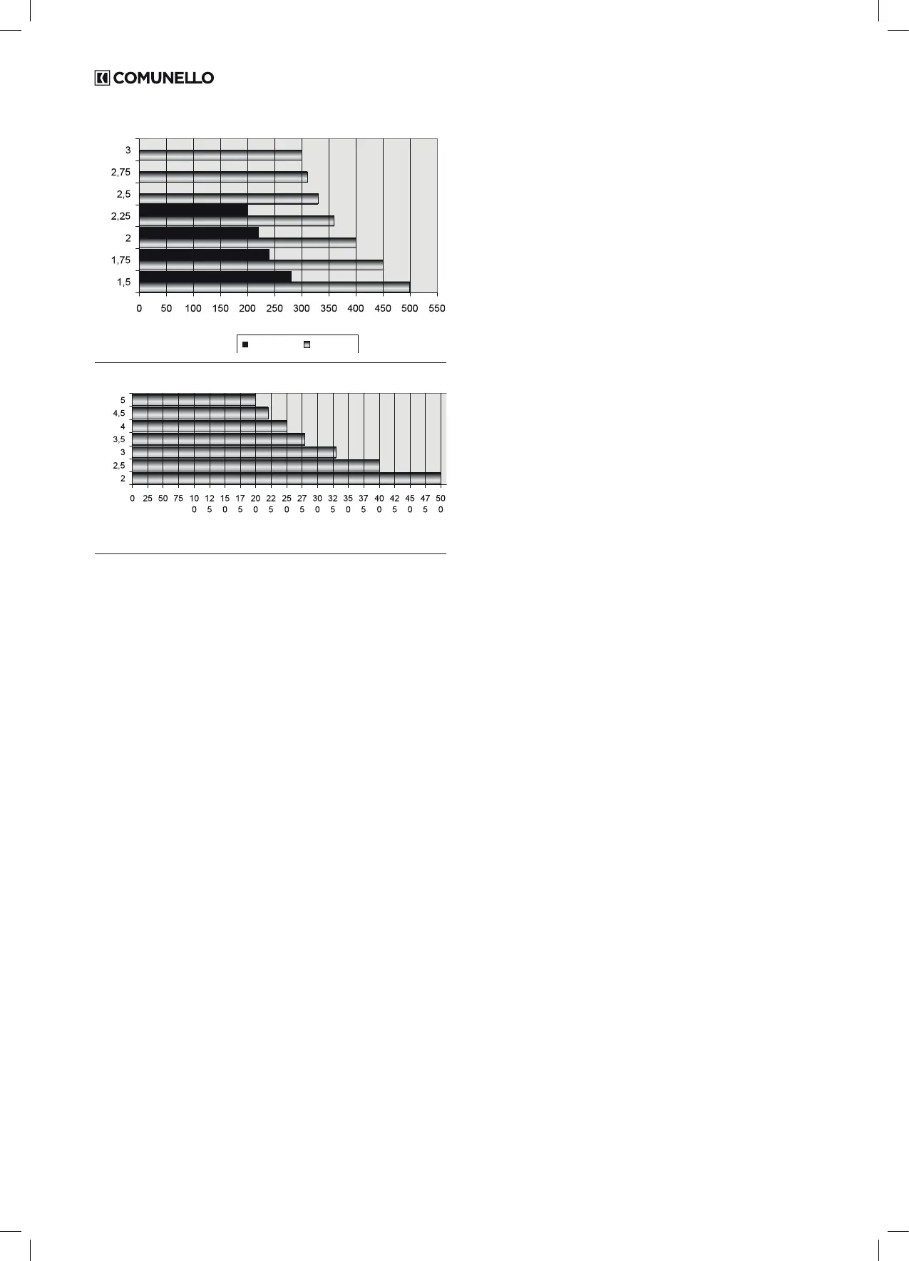
RAM 300RAM 220
POIDS DU VANTAIL (Kg)
LONGUEUR DU VANTAIL (m)
LIMITES D'UTILISATION - RAM 220 - RAM 300
POIDS DU VANTAIL (Kg)
LONGUEUR DU VANTAIL (m)
LIMITES D'UTILISATION - RAM 500

Related product manuals