EasyManua.ls Logo

Daikin WGZ030DW - Page 70

Daikin WGZ030DW
112 pages
Print Icon
To Next Page IconTo Next Page
To Next Page IconTo Next Page
To Previous Page IconTo Previous Page
To Previous Page IconTo Previous Page
Loading...
IOM 1322 • WATER-COOLED SCROLL COMPRESSOR 70 www.DaikinApplied.com
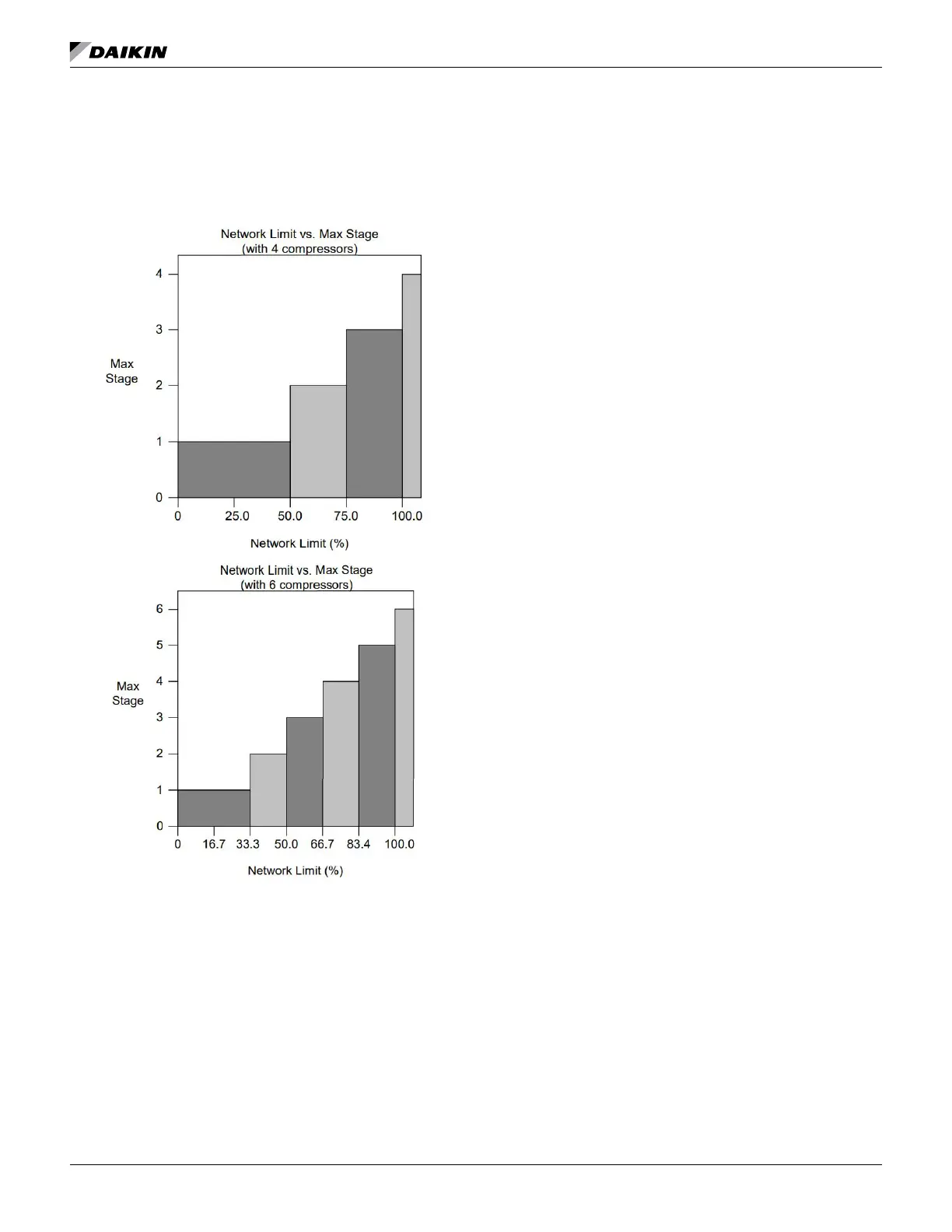
Network Limit
The maximum unit capacity can be limited by a network signal.
This function is only enabled if the unit control source is set
to network. The maximum unit capacity stage is based on the
network limit value received from the BAS, and is determined
as shown in the following graph.
NOTE: In order to allow all stages to run, a signal of 100.0%
is required.

The maximum rate at which the leaving water temperature
can drop is limited by the Maximum Pull Down Rate set point
when the unit mode is cool. If the rate exceeds this set point,
no more compressors shall be started until the pull down rate
is less than the set point. Running compressors will not be
stopped as a result of exceeding the maximum pull down rate.


If the OAT drops below the low ambient lockout set point, then
all running circuits will do a normal stop, after the compressors
have stopped the evaporator water pump will stop. Once the
lockout has been triggered, the evaporator water pump will
remain o󰀨 and no compressors will start until the OAT rises to
the lockout set point plus 5°F.
Manual Compressor Control
The operator can manually enable and disable individual
compressors. When a compressor has been disabled it is
considered unavailable to start in the staging logic. With
Manual Compressor control it is possible to take a damaged
compressor o󰀪ine while the remaining compressors on the
circuit can still provide some cooling.
A running compressor cannot be disabled until it has been
shutdown. If both of the compressors on a circuit have been
disabled then the circuit is disabled. If both circuits have all of
their compressors disabled, the Unit state will remain “O󰀨”.
Normal Circuit Shutdown
If a condition arises that requires a circuit to shut down, but it
is not an emergency situation, then the circuit will do a pump
down. A normal circuit shutdown will be initiated when any of
the following occur:
Unit State = Pump Down
Circuit Switch = O󰀨
Low Ambient Lockout
A normal stage down occurs, and only one compressor
on the circuit is running
Unit mode = Ice AND the ice set point is reached
Pump Down Procedure
If both compressors are running, shut o󰀨 the appropriate
compressor based on sequencing logic
With one compressor left running, turn o󰀨 hot gas output
and liquid line output
Keep running until evaporator pressure reaches the pump
down pressure, then stop compressor
If evaporator pressure does not reach pump down
pressure within two minutes, stop compressor andrecord
a Failed Pumpdown event in the Event Log.
Liquid Line Solenoid
The liquid line output shall be on any time a compressor on the
circuit is running and the circuit is not performing a pump down.
This output should be o󰀨 at all other times.

This output shall be on when one compressor on the circuit
is running and the circuit is not performing a pump down. The
output should be o󰀨 at all other times including the delay time
described below.


Other manuals for Daikin WGZ030DW

Related product manuals