EasyManua.ls Logo

Daikin WSC087 - Low Condenser Water Temperature Operation

Daikin WSC087
58 pages
Print Icon
To Next Page IconTo Next Page
To Next Page IconTo Next Page
To Previous Page IconTo Previous Page
To Previous Page IconTo Previous Page
Loading...
IM 1044-2 Centrifugal Chillers 7
Assuming that there are no sudden load changes and that the chiller plant has reasonable turndown, a rule of
thumb of “gallons of water volume equal to two to three times the chilled water gpm flow rate” is often used.
A properly designed storage tank should be added if the system components do not provide sufficient water
volume.
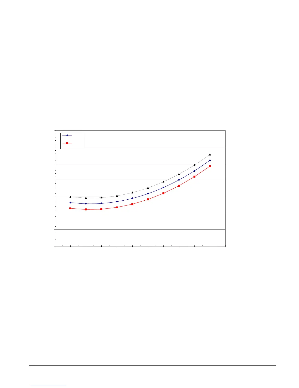
Low Condenser Water Temperature Operation
When the ambient wet bulb temperature is lower than design, the condenser water temperature can be allowed to
fall. Lower temperatures will improve chiller performance.
Up to 600 Tons
Daikin centrifugal chillers up to 600 Tons are equipped with electronic expansion valves (EXV) and will start
and run with entering condenser water temperatures as low as shown in Figure 3 or as calculated from the
following equation on which the curves are based.
Figure 3, Minimum Entering Condenser Water Temperature (EXV)
M
in. ECWT = 5.25 + 0.88*(LWT) - DT
FL*
(PLD/100) + 22*(PLD/100)
2
ECWT = Entering condenser water temperature
LWT = Leaving chilled water temperature
DT
FL
= Chilled Water Delta-T at full load
PLD = The percent chiller load point to be checked
For example; at 44°F LWT, 10 degree F Delta-T, and 50% full load operation, the entering condenser water
temperature could be as low as 44.5°F. This provides excellent operation with water-side economizer systems.
Over 600 Tons
Chillers over 600 Tons are equipped with thermal expansion valves (TXV) and will start and run with entering
condenser water temperatures as low as calculated by the following equation and shown in the chart following.
Min. ECWT = 7.25 + LWT– 1.25* DT
FL
(PLD/100) + 22*(PLD/100)
2
ECWT = Entering condenser water temperature
LWT = Leaving chilled water temperature
DT
FL
= Chilled Water Delta-T at full load
PLD = The percent chiller load point to be checked
30.0
35.0
40.0
45.0
50.0
55.0
60.0
65.0
0 10 20 30 40 50 60 70 80 90 100 110
ECWT, F
Percent Load
Minimum Entering Condenser Water Temperature - 10 F Range
44
LChWT
42
LChWT

Related product manuals