EasyManua.ls Logo

Dell E207WFP - System Block Diagrams

Dell E207WFP
100 pages
Print Icon
To Next Page IconTo Next Page
To Next Page IconTo Next Page
To Previous Page IconTo Previous Page
To Previous Page IconTo Previous Page
Loading...
20" LCD Color Monitor Dell E207WFP
19
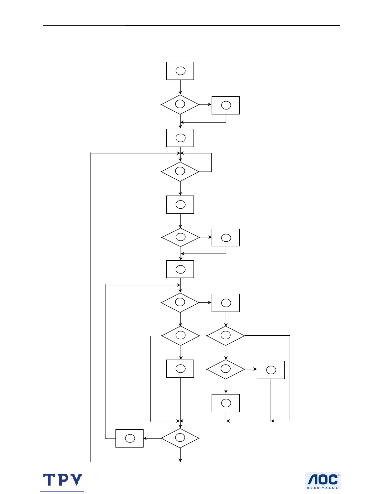
5. Block Diagram
5.1 Software Flow Chart
1
2
N
Y
5
Y
N
10
Y
N
12
Y
N
7
Y
N
6
4
3
8
9
14
11
13
Y
N
15
Y
N
16
17
19
Y
N
18

Other manuals for Dell E207WFP

Related product manuals