EasyManua.ls Logo

Delta Electronics ASDA-A2 Series - Page 136

Delta Electronics ASDA-A2 Series
583 pages
Print Icon
To Next Page IconTo Next Page
To Next Page IconTo Next Page
To Previous Page IconTo Previous Page
To Previous Page IconTo Previous Page
Loading...
Chapter 5 Trial Run and Tuning Procedure
NOTE
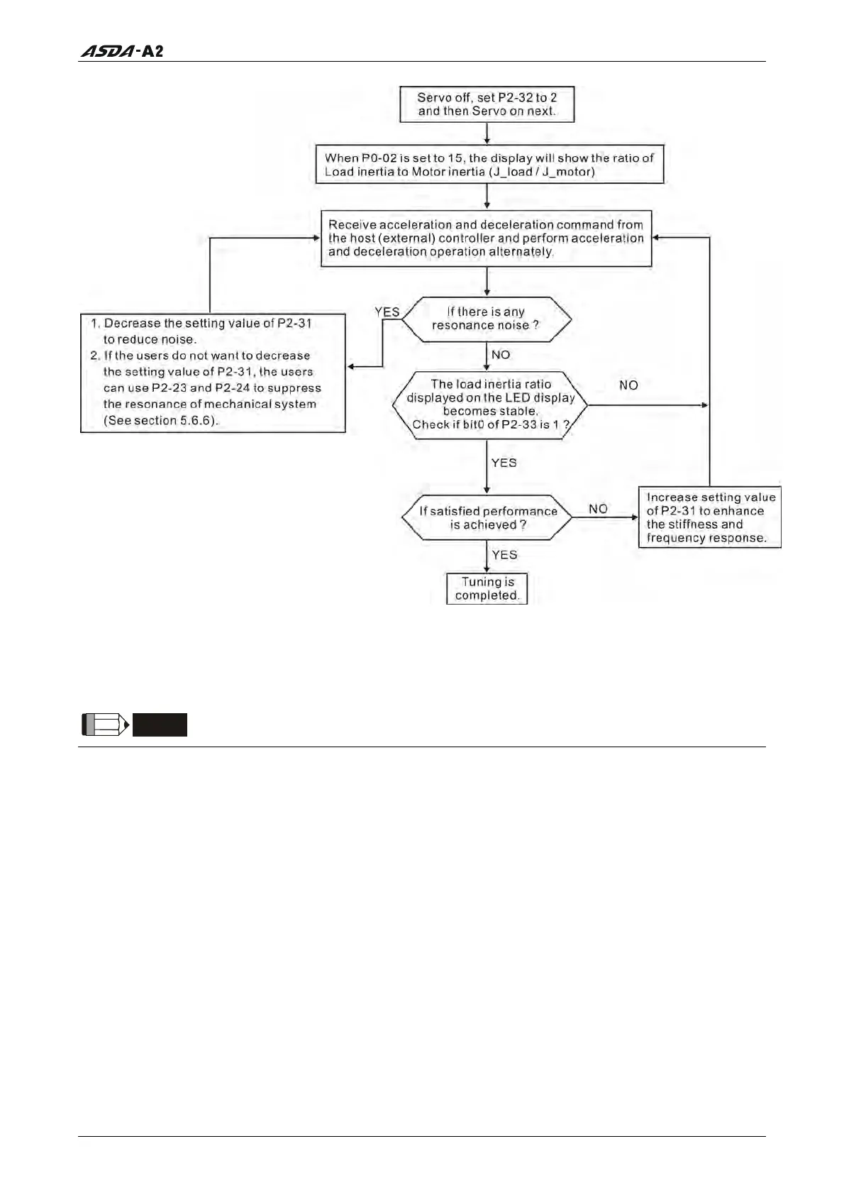
1) When bit0 of P2-33 is set to 1, it indicates that the system inertia estimation of semi-auto
mode has been completed and the measured load inertia value is saved and memorized in P1-
37 automatically.
2) If reset bit0 of P2-33 to 0, it will start estimating the system inertia again.
Revision January 2011 5-19
Call 1(800)985-6929 for Sales
deltaacdrives.com
sales@deltaacdrives.com
Call 1(800)985-6929 for Sales
deltaacdrives.com
sales@deltaacdrives.com

Related product manuals