EasyManua.ls Logo

Delta Electronics ASDA-A2 Series - 11.4 Overload Characteristics

Delta Electronics ASDA-A2 Series
583 pages
Print Icon
To Next Page IconTo Next Page
To Next Page IconTo Next Page
To Previous Page IconTo Previous Page
To Previous Page IconTo Previous Page
Loading...
Chapter 11 Specifications
11-18 Revision January 2011
11.4 Overload Characteristics
Overload Protection Function
Overload protection is a built-in protective function to prevent a motor from overheating.
Occasion of Overload
1. Motor was operated for several seconds under a torque exceeding 100% torque.
2. Motor had driven high inertia machine and had accelerated and decelerated at high
frequency.
3. Motor UVW cable or encoder cable was not connected correctly.
4. Servo gain was not set properly and caused motor hunting.
5. Motor holding brake was not released.
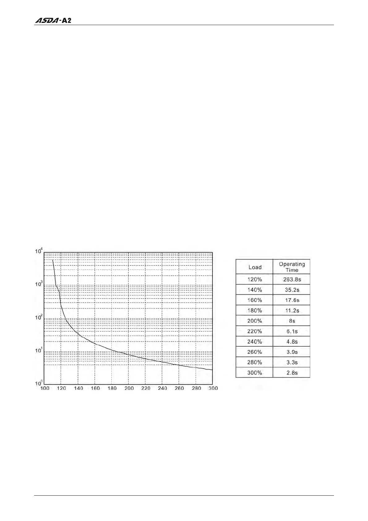
Chart of load and operating time
Low Inertia Series (ECMA C1, J1 Series)
Call 1(800)985-6929 for Sales
deltaacdrives.com
sales@deltaacdrives.com
Call 1(800)985-6929 for Sales
deltaacdrives.com
sales@deltaacdrives.com

Related product manuals