EasyManua.ls Logo

Denco CAIRplus - Page 18

Default Icon
88 pages
Print Icon
To Next Page IconTo Next Page
To Next Page IconTo Next Page
To Previous Page IconTo Previous Page
To Previous Page IconTo Previous Page
Loading...
Technical Description CAIRplus
18 PR-2009-0096-GB • Subject to modifications • R8-10/2015
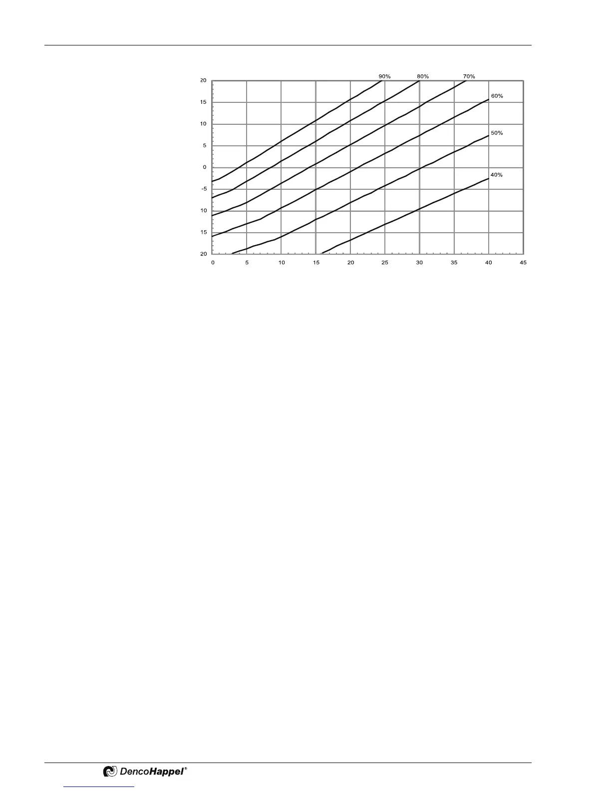
Air temperature on unit external side in °C
Air temperature on unit internal side in °C
Relative humidity on unit external side in %