EasyManua.ls Logo

doble F6150 - Page 110

doble F6150
228 pages
Print Icon
To Next Page IconTo Next Page
To Next Page IconTo Next Page
To Previous Page IconTo Previous Page
To Previous Page IconTo Previous Page
Loading...
Troubleshooting Flow Charts
6-2 72A-1589 Rev. C 02/01
D
DD
D
R
RR
R
A
AA
A
F
FF
F
T
TT
T
3
33
3
/
//
/
5
55
5
/
//
/0
00
0
1
11
1
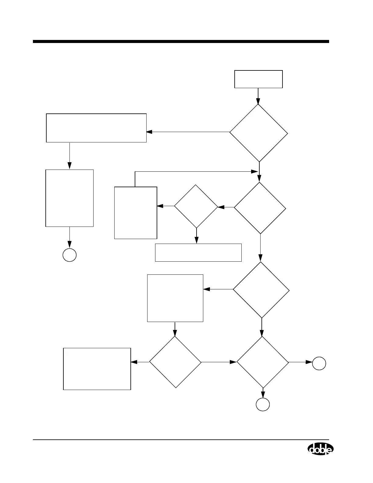
Figure 6.1 Troubleshooting Flow Chart — Part 1
Is PC
Communicating
with F6150?
Are fans
ON at
power up?
Does
one I or V/I
amplifier not
work?
Are
all 4 Fans
off?
C
B
NO
NO
NO
NO
NO
YES
YES
YES
YES
YES
Replace Fan Assembly (see
”Cooling Fans” on page 7-22)
Replace P/S
Assembly
(see ”Circuit
Board
Replacement”
on page 7-17)
Check that the
350V LED is lit.
(see ”Voltage or
Current Amplifier
Board Checks”
on page 6-10)
Replace isolated bad
amplifier
(see ”Circuit Board
Replacement”
on page 7-17)
FIXED
Power Up PC
and F6150
VFD = Vacuum Fluorescent Display
YES
(LED STATUS
Is any 350V
LED OFF?
NO
OK)
Check RS/232 or Ethernet Cable
(see ”Resolving Communications
Problems” on page 6-11)
B
Check the device
setting in Control
Panel / System
Device Manager.
Resolve any
conflicts in Win
95/98.
Cable
OK?
Is the VFD
status OK?

Table of Contents

Related product manuals