EasyManua.ls Logo

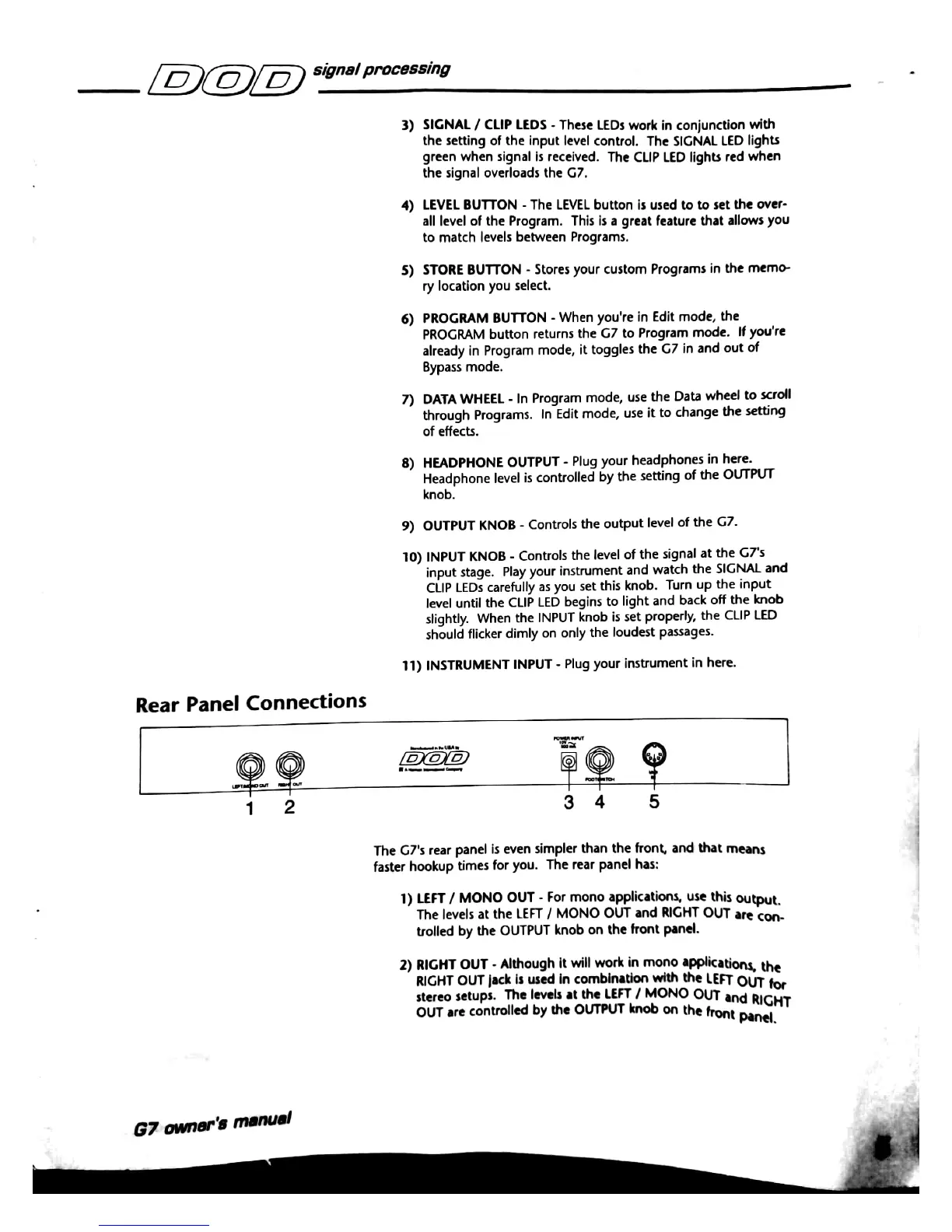
DOD G7 - Rear Panel Connections

DOD G7
14 pages
Print Icon
To Next Page IconTo Next Page
To Next Page IconTo Next Page
To Previous Page IconTo Previous Page
To Previous Page IconTo Previous Page
Loading...
Scanned by CamScanner

Related product manuals