EasyManua.ls Logo

Doosan D35S-9 - Page 59

Doosan D35S-9
180 pages
Print Icon
To Next Page IconTo Next Page
To Next Page IconTo Next Page
To Previous Page IconTo Previous Page
To Previous Page IconTo Previous Page
Loading...
General Section
-56-
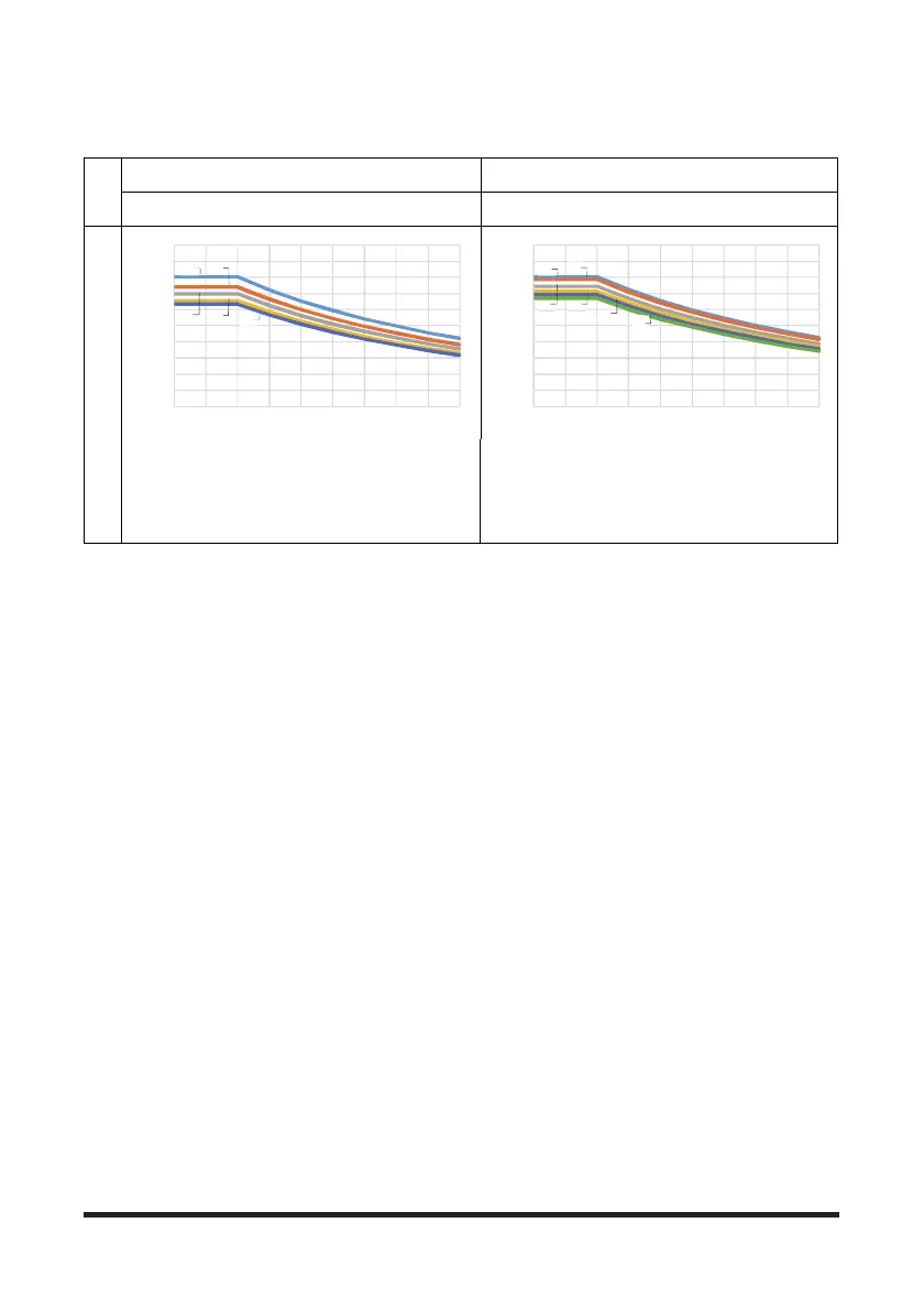
Capacity Chart (with Side Shifter)
Model
DOUBLE TIRE DOUBLE TIRE
STD, FFL FFT
D55SC-9
A. 2750/3050/3400/3750/4000mm
B. 4600mm
C. 5000mm
D. 5500mm
E. 5800mm
A. 3575/3875/4125mm
B. 4575mm
C. 5025mm
D. 5325mm
E. 5475mm
F. 5925mm
1000
1500
2000
2500
3000
3500
4000
4500
5000
5500
6000
500 600 700 800 900 1000 1100 1200
1000
1500
2000
2500
3000
3500
4000
4500
5000
5500
6000
500 600 700 800 900 1000 1100 1200
A
C
E
F
B
D
A
C
E
B
D

Table of Contents

Related product manuals