EasyManua.ls Logo

EST LSS4 - Page 44

Default Icon
126 pages
Print Icon
To Next Page IconTo Next Page
To Next Page IconTo Next Page
To Previous Page IconTo Previous Page
To Previous Page IconTo Previous Page
Loading...
System
Installation
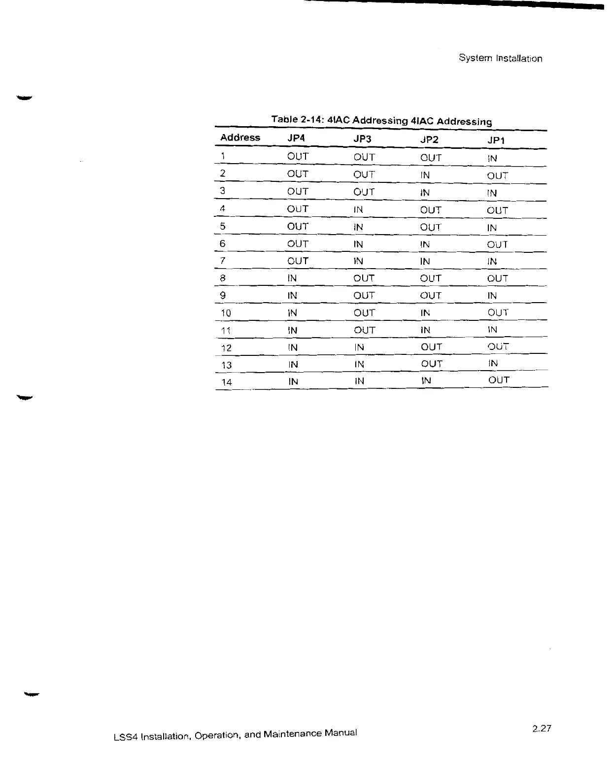
Table
2-14.
4IAC
Addressing
4IAC
Addressing
AddressJP4 JP3 JP2 JPt
1 OUT OUT OUT IN
2 OUT OUT IN OUT
3 OUT OUT IN IN
4 OUT IN OUT OUT
5 OUT IN OUT IN
6 OUT IN IN OUT
7 OUT IN IN IN
8 IN OUT OUT OUT
g IN OUT OUT IN
0 IN OUT IN OUT
11 IN OUT I IN
12
IN
I OUT
OLIT
13
IN IN OUT
!N
1
4 iN
IN IN
OUT
LSS4
Instal1ation,
O
peration, and
Maintenanc
e
Manual
2.27

Related product manuals