EasyManua.ls Logo

Everwell MKTH1213E-16 - Page 40

Default Icon
73 pages
Print Icon
To Next Page IconTo Next Page
To Next Page IconTo Next Page
To Previous Page IconTo Previous Page
To Previous Page IconTo Previous Page
Loading...
Air Conditioner Service Manual
40
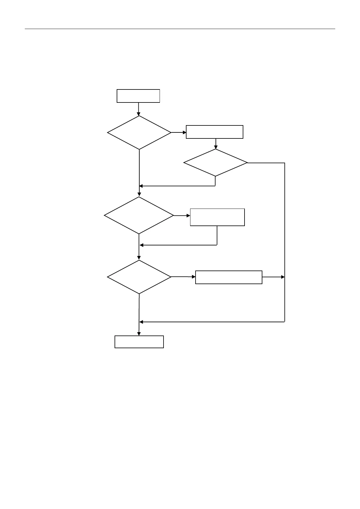
3.2.11 P2---Over Current protection
When the AC unit running current more than I
max
, it will stop and display P2 protection.
Note: for different AC model, I
max
has difference valve.
Display P2
IDU fan motor
works?
Replace fan motor
IDU filter or ODU
condenser too
dirty?
Clean IDU filter or
condenser
Re-start the unit,
P2 disappear?
No
Replace ODU PCB
Yes
Yes
End
P2 disappear?
No
Yes
No
Yes
No

Related product manuals