EasyManua.ls Logo

Feasa 20-F - Intensity Measurement Details

Default Icon
132 pages
To Next Page IconTo Next Page
To Next Page IconTo Next Page
To Previous Page IconTo Previous Page
To Previous Page IconTo Previous Page
Loading...
FEASA LED ANALYSER
FUNCTIONAL VERSION
Intensity
Intensity is a measure of the amount of light being emitted by the LED. The Analyser tests the
Intensity of each LED and outputs this value to the Test System. The value is output as a
number in the range 0 - 99,999. The Analyser is calibrated to a fixed standard and all
measurements are relative. The Intensity output reading is NOT part of the International
System of Units and is not an absolute or traceable unit of colour measurement. It is part of
the Hue Saturation and Relative intensity (HSI) system of describing colour.
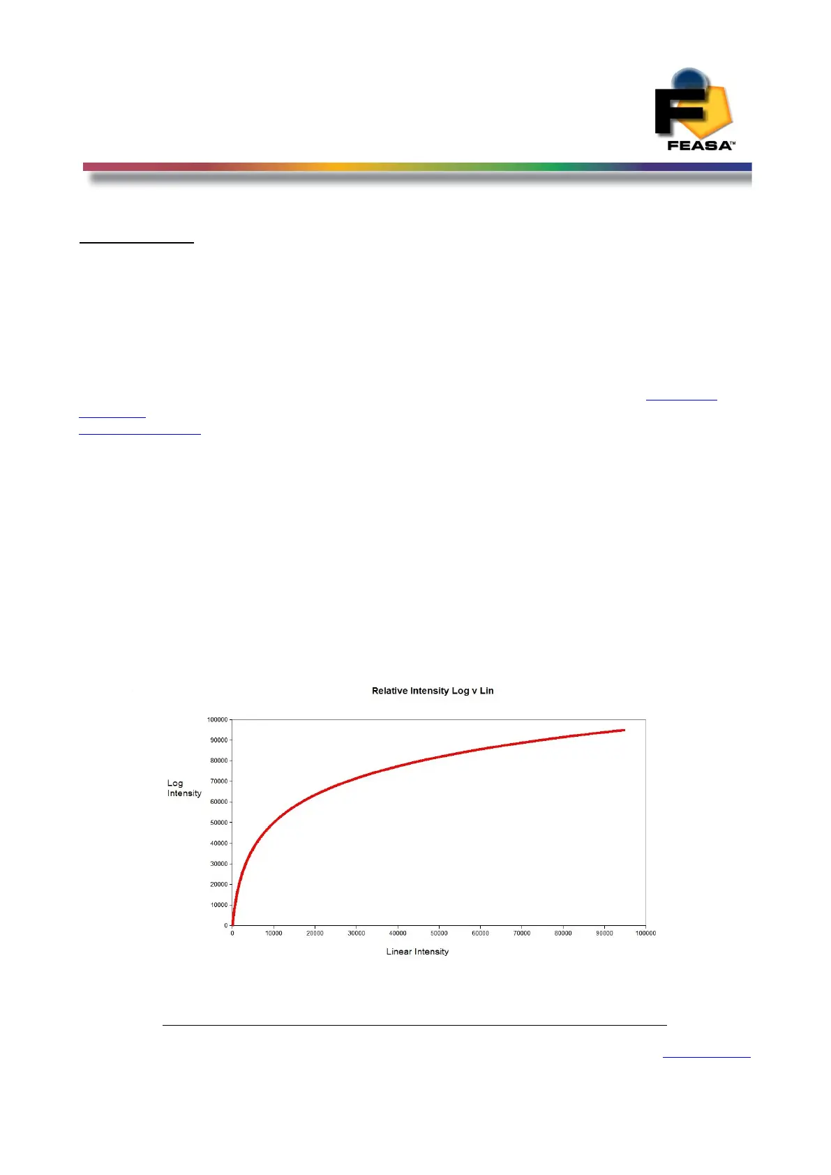
The Analyser can be set in either Linear mode or Logarithmic modes to measure Intensity of
the LED. The units are shipped from the factory in Logarithmic mode. See set/ put log and
set/ put lin commands to determine how to set the mode of the analyser. Use the
get intensitymode command to determine which intensity measure mode the Analyser is set to
Factors that influence Intensity Measurement:
The position of the Fiber in relation to the LED.
Offset from the Optical Centre of the LED.
The Gap between the end of the Fiber Light Guide and LED to be measured.
The condition of the Fiber end. It must be kept clean with a 90º Cleave.
Is the LED Static or Flashing ?
External Influences – Other LEDs in close proximity, Ambient Lighting.
Is an Optical Head being used.
There are 6 capture ranges each with an intensity output range of 0 to 99,999. Feasa
recommends that the UUT readings should be in the 55K to 85K range for the best
stability.
Figure 3a. Intensity for the LED Analyser in LOGARITHMIC Mode
Back to Index
10

Table of Contents

Related product manuals