EasyManua.ls Logo

First Watt F5 - Page 16

Default Icon
18 pages
Print Icon
To Next Page IconTo Next Page
To Next Page IconTo Next Page
To Previous Page IconTo Previous Page
To Previous Page IconTo Previous Page
Loading...
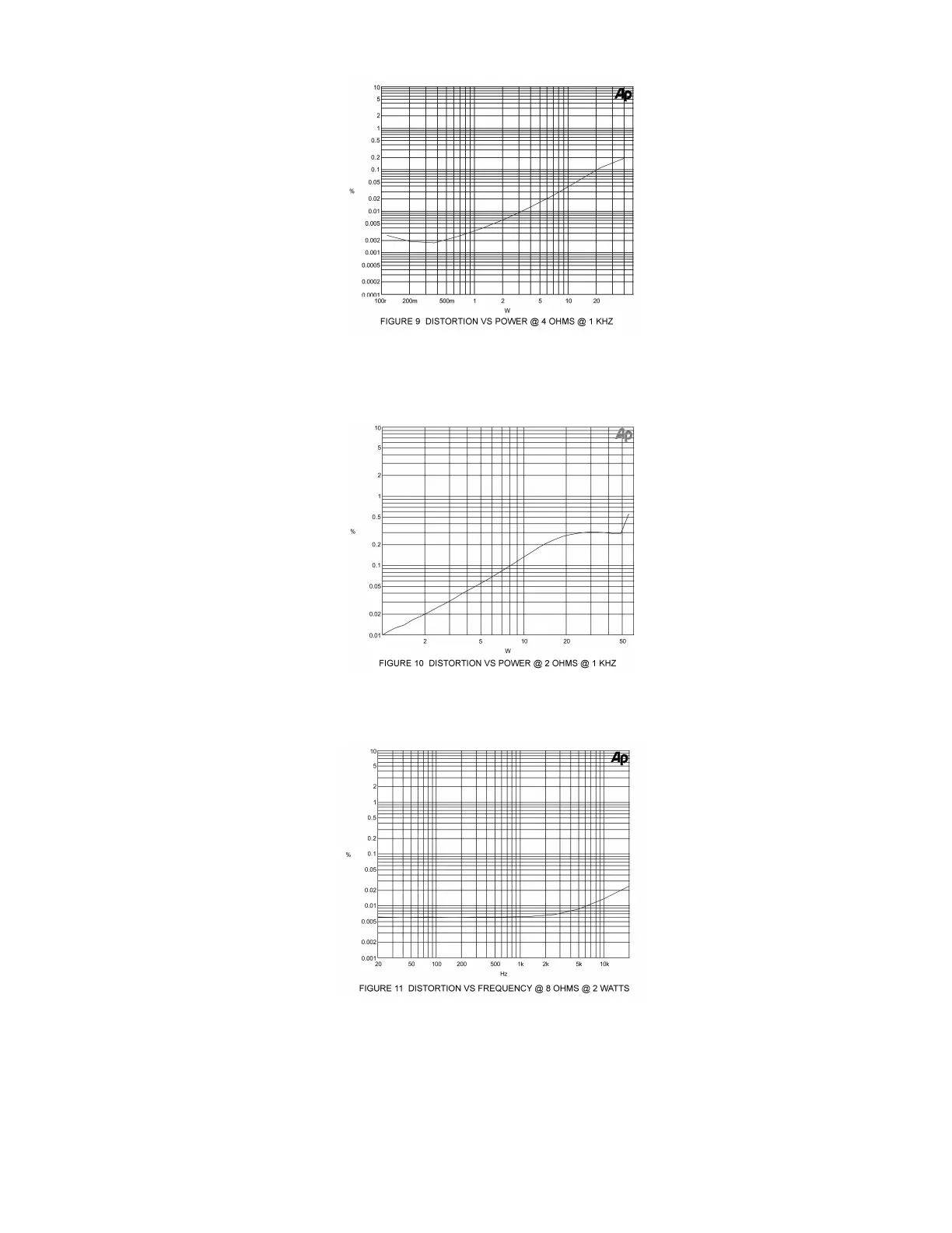
Figure 10 shows the harmonic distortion + noise plotted against output power into 2 ohms,
where the amplifier begins to clip at 0.3% at 50 watts.
Figure 11 shows the distortion + noise versus frequency at 2 watts into 8 ohms.
Figure 12 shows the frequency response, flat to DC and down -0.25 dB at 200 KHz.

Related product manuals