EasyManua.ls Logo

Fostex D-15 - 7-3-6. Setup of panel lock ON;OFF

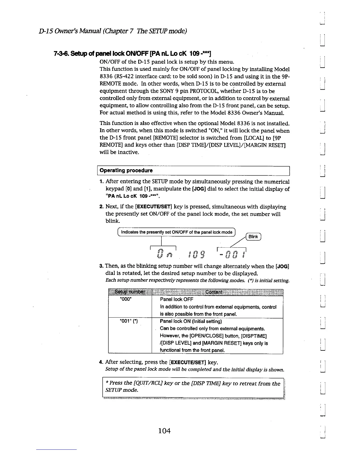
Fostex D-15
122 pages
Print Icon
To Next Page IconTo Next Page
To Next Page IconTo Next Page
To Previous Page IconTo Previous Page
To Previous Page IconTo Previous Page
Loading...

Table of Contents

Related product manuals