EasyManua.ls Logo

Fostex D-15 - Precautions in Operation; Precautions for Installation; Precautions on Dewing; The Internal Clock

Fostex D-15
122 pages
Print Icon
To Next Page IconTo Next Page
To Next Page IconTo Next Page
To Previous Page IconTo Previous Page
To Previous Page IconTo Previous Page
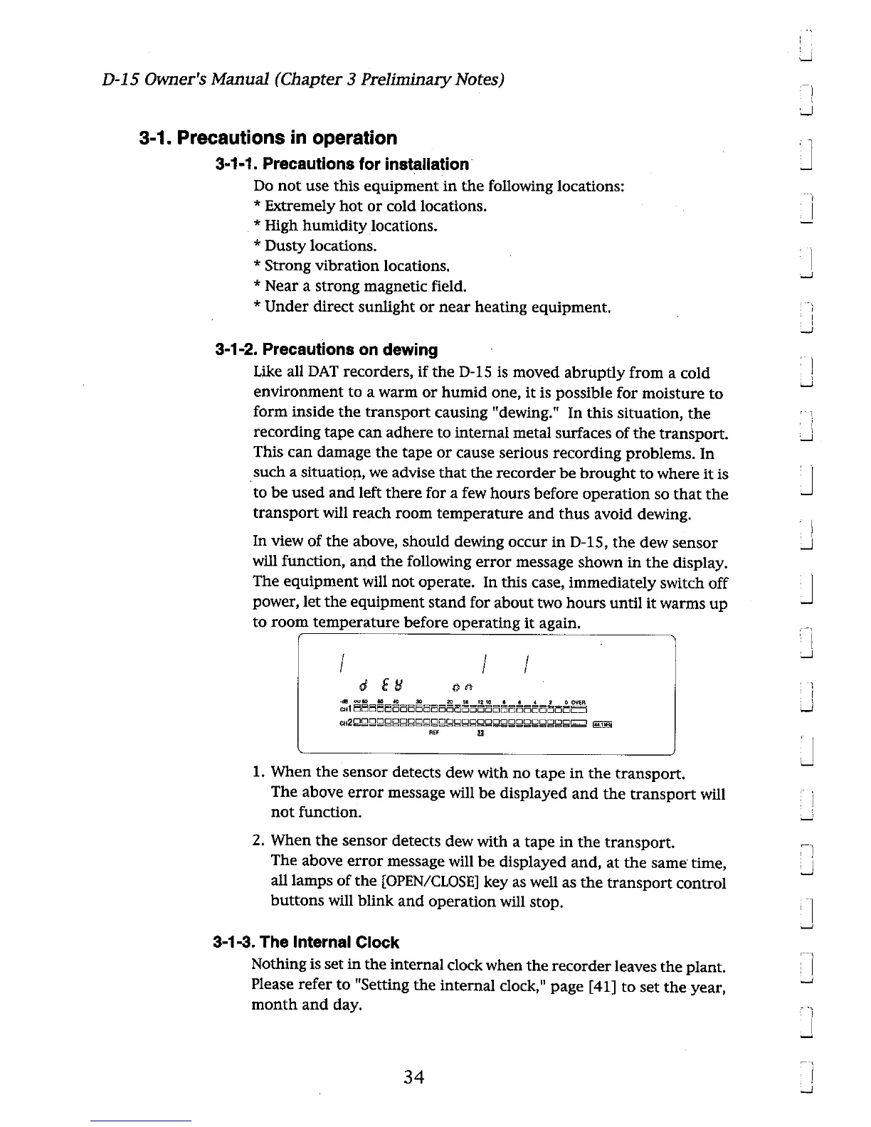
Loading...

Table of Contents

Related product manuals