EasyManua.ls Logo

Fujitsu AMUG36LMAS - Page 117

Fujitsu AMUG36LMAS
200 pages
Print Icon
To Next Page IconTo Next Page
To Next Page IconTo Next Page
To Previous Page IconTo Previous Page
To Previous Page IconTo Previous Page
Loading...
04-10
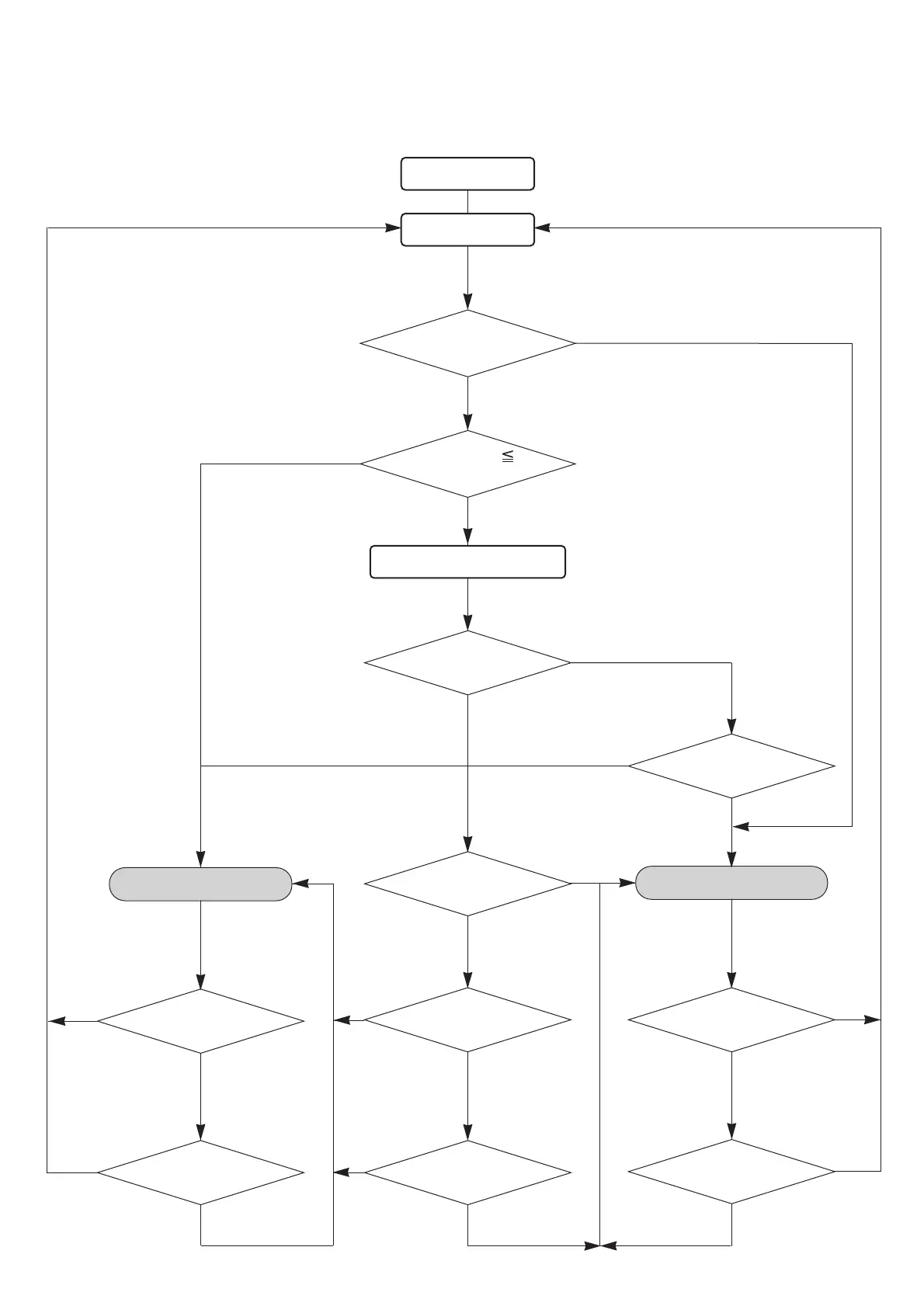
START
Room temp.
Ts + 3.6°F (2°C) ?
COOLING OPERATIONHEATING OPERATION
YES
Auto change over is
second or more?
NO
NO
YES
NO
NO
AUTO CHANGEOVER operation flow chart
TS : Setting temperature
Room temp.
Ts - 3.6°F (2°C) ?
Thermostat remains
in OFF state for 6 minutes or
longer?
System stops
or operation command other than
auto changeover operation?
NO
Thermostat remains
in OFF state for 6 minutes or
longer?
System stops
or operation command other than
auto changeover operation?
Middle zone
NO
NO
Operation mode of
outdoor unit : Cooling?
YES
NO
Operation mode of outdoor unit
: Heating?
YES
NO
YES
Outdoor temperature <
77°F (
25°C) ?
NO
YES
YES
YES
NO
YES
YES
Operation mode
before the monitor mode is
cooling mode?
Monitor mode

Table of Contents

Other manuals for Fujitsu AMUG36LMAS

Related product manuals