EasyManua.ls Logo

Fujitsu AUG12LVLB - Page 9

Fujitsu AUG12LVLB
75 pages
Print Icon
To Next Page IconTo Next Page
To Next Page IconTo Next Page
To Previous Page IconTo Previous Page
To Previous Page IconTo Previous Page
Loading...
01-04
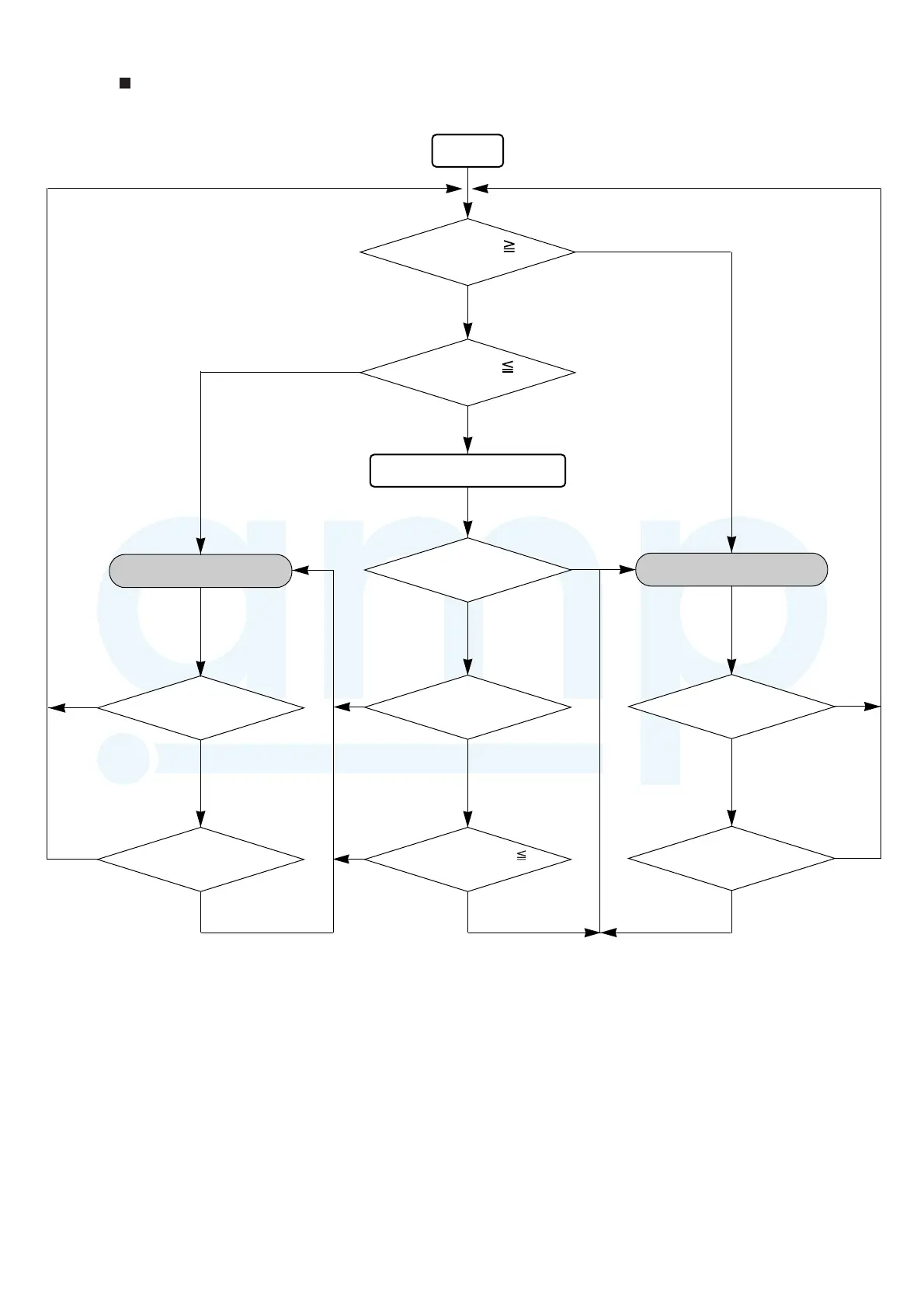
START
Room temp.
Ts + 2°C?
COOLING (AUTO:DRY)
OPERATION
HEATING OPERATION
YES
YES
NO
NO
NO
AUTO CHANGEOVER operation flow chart
TS : Setting temperature
Room temp.
Ts - 2°C?
Thermostat remains
in OFF state for 6 minutes or
longer?
System stops
or operation command other than
auto changeover operation?
NO
Thermostat remains
in OFF state for 6 minutes or
longer?
System stops
or operation command other than
auto changeover operation?
Middle zone
NO
Operation mode
of outdoor unit : Cooling or Dry?
YES
NO
Operation mode
of outdoor unit : Heating?
YES
NO
YES
Outdoor temperature
25°C?
NO
YES
YES
NO
YESYES
AMP Air Conditioning
www.ampair.co.uk | sales@ampair.co.uk

Other manuals for Fujitsu AUG12LVLB

Related product manuals