EasyManua.ls Logo

Fujitsu R407C - 3-4 EXPANSION VALVES 1 AND 2 CONTROL

Fujitsu R407C
162 pages
Print Icon
To Next Page IconTo Next Page
To Next Page IconTo Next Page
To Previous Page IconTo Previous Page
To Previous Page IconTo Previous Page
Loading...
Power source turned ON
Stand by
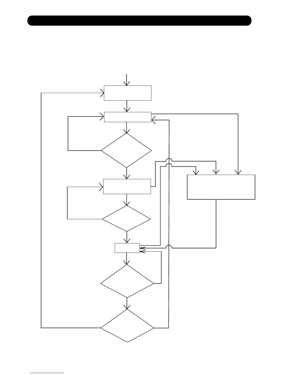
1) Purpose of the control
3-4 EXPANSION VALVES 1 AND 2 CONTROL
03-06
In order to balance the refrigerant flow rate of each heat exchanger and to adjust the refrigerant gas to an
optimum state, a feedback control of expansion valves 1 and 2 is performed by using operation date which
is obtained with thermistors and pressure sensors.
2) Operation flow chart of expansion valves
Initialization of
expansion valves
Does any of
the compressors
start to operate?
Automatic control
of expansion valves
Is any of the
compressors
operating?
Watching
Does any of
the compressors
start to operate?
Do expansion
valves need to be
initialized?
(Oil recovery or Defrosting
operation)
No
Yes
Yes
No
No
No
Yes
Yes
The expansion valves are initialized at intervals of 4 hours (about).
*
Expansion valves automatic
controlled

Table of Contents

Related product manuals