EasyManua.ls Logo

GE JET344 - Troubleshooting and Normal Operations

GE JET344
36 pages
Print Icon
To Next Page IconTo Next Page
To Next Page IconTo Next Page
To Previous Page IconTo Previous Page
To Previous Page IconTo Previous Page
Loading...
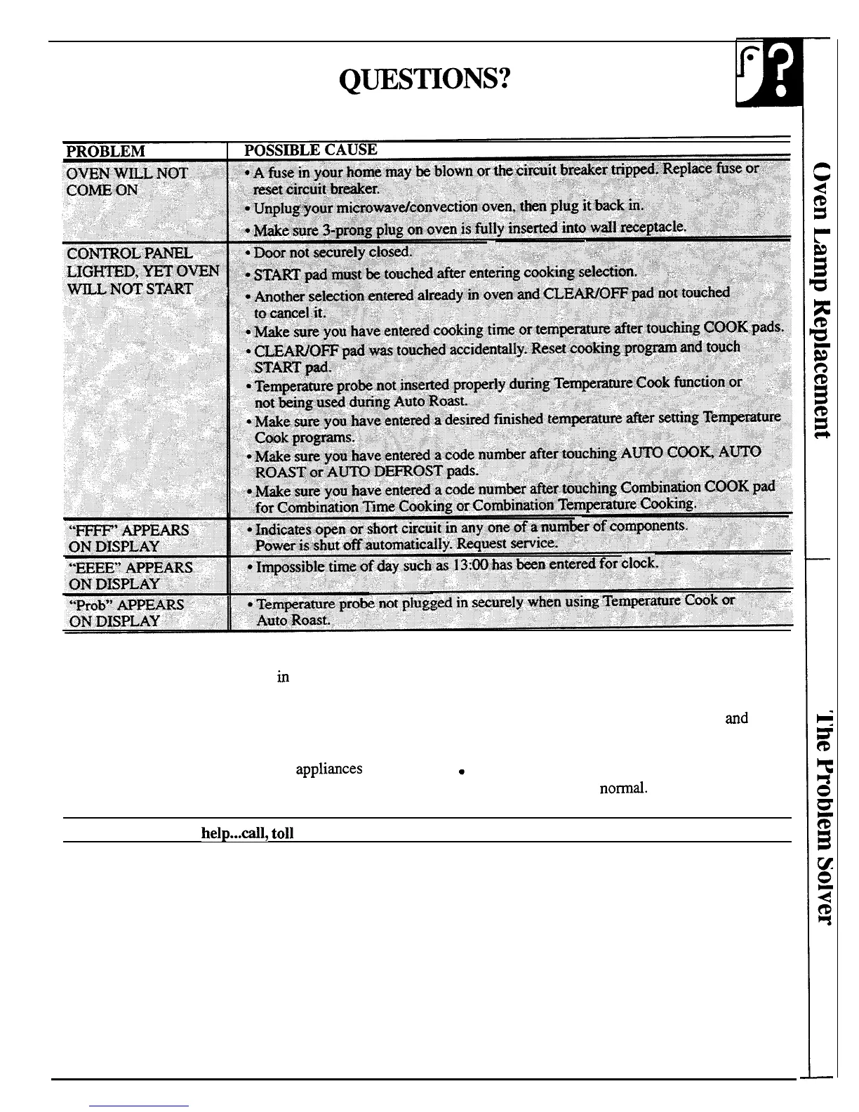
QUES~ONS?
USE THIS PROBLEM SOLVER
All these things are normal with your microwave oven:
Dimming oven light and change
in
blower sound may
Steam or vapor escaping from around the door.
occur while operating at power levels other than high.
Light reflection around door or outer case.
Dull, thumping sound while oven is operating.
During cooking you will hear “cracking”
and
Some N-Radio interference might be noticed while
“popping” noises which, are nothing more than
using your microwave oven. It’s similar to the
normal expansion of the oven.
interference caused by other small
applinces
and
does not indicate a problem with your oven.
Q
At the end of microwave cycles you will hear a
slight thump. This is
normrd.
If you need more help...cdl,
toll
free: GE Answer Center
@
/ 800.626.2000/ consumer information service
33

Related product manuals