EasyManua.ls Logo

Getinge S-606 - Intensive Programme

Getinge S-606
16 pages
Print Icon
To Next Page IconTo Next Page
To Next Page IconTo Next Page
To Previous Page IconTo Previous Page
To Previous Page IconTo Previous Page
Loading...
Operating instructions
5000376-00 Version 990426 15
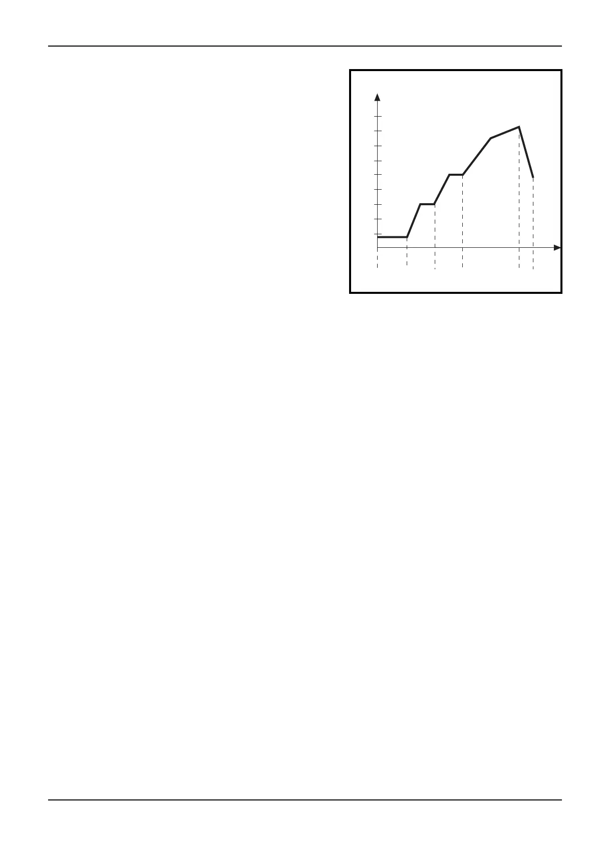
100
80
60
40
20
01 02 03 04
05
V134
Phase
°C
Intensive programme
If the items to be cleaned are heavily soiled, the intensive
programme shall be used.
Press the r button for the intensive programme. The
cleaning programme now starts. The following cycles are
performed:
01. Flushing
During flushing, the item is rinsed with a high-
pressure jet of clean water.
02. Cleaning 1
The item is cleaned effectively during this cycle.
03. Cleaning 2
The item is cleaned effectively during this cycle.
If cleaning agent s is selected, an additional
cleaning phase takes place.
04. Disinfecting
The washing chamber is heated with steam until the
right disinfection temperature and the right time are
achieved.
05. Cooling
The items are cooled with water (it is possible to
delete the cooling phase if the machine is pre-
programmed).
When the machine is run without cooling, the
machine will give a HOT ITEMS warning after the
process is complete.
End of programme
The green indicator lamp for M lights when
the programme has finished. The door is unlocked
automatically. Open the door and remove the clean,
disinfected items from the machine. The maximum
disinfection temperature appears in the display. The
green lamp goes out when the door is opened.

Related product manuals