EasyManua.ls Logo

GRE VSG75 - Dados Técnicos; Resolução de Problemas

GRE VSG75
174 pages
Print Icon
To Next Page IconTo Next Page
To Next Page IconTo Next Page
To Previous Page IconTo Previous Page
To Previous Page IconTo Previous Page
Loading...
94
8. RESOLUÇÃO DE PROBLEMAS:
Funcionalidades de resolução de problemas controladas por computador para as bombas VSG75:
1. Proteção contra temperatura elevada ou baixa
Quando a temperatura do motor for superior a 90 ºC ou inferior a -5 ºC, a bomba irá parar de funcionar e
será exibido o código de erro TP. Quando a temperatura normal do motor for restabelecida, entre 5 ºC e 60
ºC, a bomba começará automaticamente a funcionar de acordo com a programação feita pelo utilizador para
o modo automático.
2. Proteção contra bloqueio ou encravamento
Quando o rotor do motor ou o motor estiver encravado, será exibido o código de erro BP. A bomba tentará
reiniciar-se automaticamente passados 6 segundos. Se a bomba não se reiniciar automaticamente após -
rias tentativas, o utilizador deverá examinar o rotor e o motor. Desligue sempre a corrente antes de qualquer
tarefa de manutenção.
3. Proteção contra sobrecarga de tensão
Se o controlador apresentar alguma falha, como sobrecarga ou sobretensão, será exibido o código de erro
OL. A bomba tentará reiniciar-se automaticamente passados 6 segundos, se não se encontrar danificada.
4. Proteção contra perda de fase:
Quando a PCB principal detetar um problema de perda de fase (p. ex., o cabo do motor não está devidamen
-
te conectado), será exibido o código de erro LP. A bomba tentará reiniciar-se automaticamente passados 6
segundos após o cabo ter sido novamente conectado ou uma vez resolvida a perda de fase.
5. Proteção contra perda de comunicação
Quando ocorrer uma falha de comunicação entre a PCB do visor e a PCB principal dentro da bomba, será
exibido o código de erro CP e a bomba irá parar.
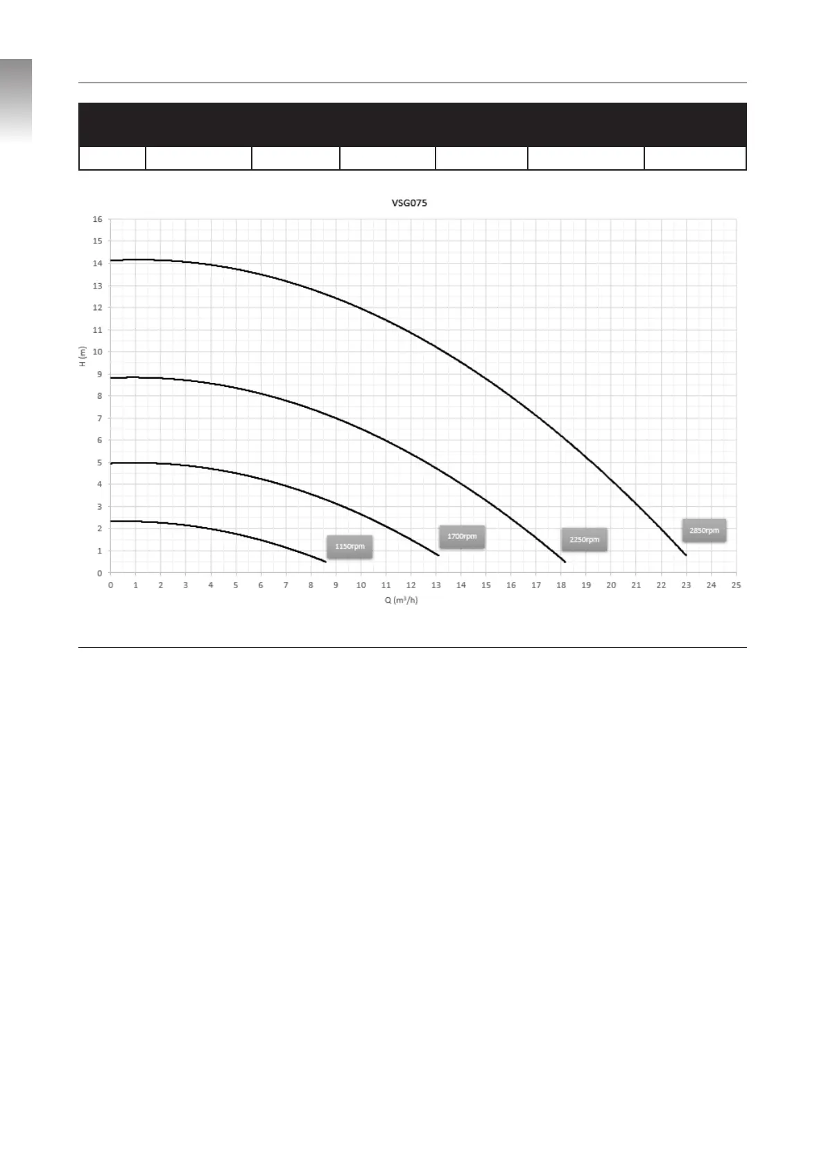
7. DADOS TÉCNICOS:
digo Potência
de entrada
Tensão Frequência Altura
máx.
Caudal máx. Tamanho
dos os
VSG75 750W 230V 50Hz 50Hz 14 m.c.w. 20 m
3
/h H07RN-F
PORTUGUÊS
Manual de instruções - BOMBA DE VELOCIDADE VARIÁVEL PARA PISCINAS

Table of Contents

Related product manuals